Next: C. Estimating Diffusive Layer
Up: Appendix
Previous: A. Re-expressing as a
B. Expressing the Equations (4.14)
In order to write (4.19) as a function of
the following set of rules is needed:
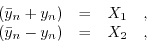
 |
(7.10) |
or
 |
(7.11) |
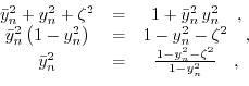
The following identities (7.8):
 |
(7.12) |
allow to write
as function of
,
 |
(7.13) |
and
as function of
,
 |
(7.14) |
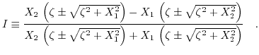
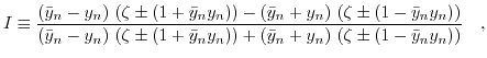
Starting with the fraction of (4.20) in dimensionless form
, and putting in the definition of
,
leads to the term below:
 |
(7.15) |
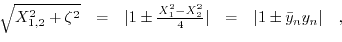
Proceeding by substituting
with (7.10) and
with (7.10), and using the identity:
 |
(7.16) |
the term (7.15) can be written as a function of
and
,
 |
(7.17) |
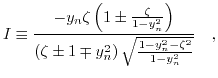
Expanding the brakets and reorganizing the expression results in:
 |
(7.18) |
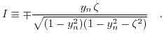
After substituting
for
the expression simplifies to:
 |
(7.19) |
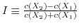
and can be reformulated to the term used in (4.22):
 |
(7.20) |
Next: C. Estimating Diffusive Layer
Up: Appendix
Previous: A. Re-expressing as a
T. Windbacher: Engineering Gate Stacks for Field-Effect Transistors