Next: 4.1.3 High Values of
Up: 4.1 Unprimed Subbands
Previous: 4.1.1 Scaled Energy Dispersion
The valley splitting was shown to be linear in strain for small shear strain values and to depend strongly on the film thickness [181]. To support these findings we reformulated (4.14) for the sum and the difference of
and
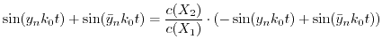
. First we introduce the transformation rules for
and
as,
 |
(4.17) |
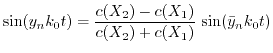
or
 |
(4.18) |
We only show the derivation for (4.14a), due to the similarity with (4.14b).
Using the above given transformation and rewriting (4.14a) to separate
and
leads to the following expression.
 |
(4.19) |
Further simplification steps result in:
 |
(4.20) |
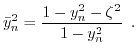
Now we re-express
as function of
(Appendix B.) resulting in
 |
(4.21) |
The derivation of the fraction containing
and
can be found in Appendix B..
 |
(4.22) |
For zero stress the ratio on the right hand side of (4.22) is equal to zero, and the standard quantization condition
is recovered. Due to the plus/minus sign in the right-hand side of (4.22), the equation splits into two non-equivalent branches for
and non-parabolic bands. (4.22) is nonlinear and can be solved only numerically. However, for small
the solution can be thought in the form
, where
is small. Substituting
into the right-hand side of (4.22) and solving the equation with respect to
, we obtain for the valley splitting:
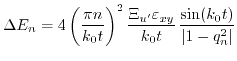
 |
(4.23) |
In accordance with earlier publications [182,183,184,185], the valley splitting is inversely proportional to the third power of
and the third power of the film thickness
. The value of the valley splitting oscillates with film thickness, in accordance with [183,184,185]. In contrast to previous works, the subband splitting is proportional to the gap
at the X-point, and not at the
-point. Since the parameter
, which determines non-parabolicity, depends strongly on shear strain, the application of uniaxial [110] stress to [001] ultra-thin Si film generates a valley splitting proportional to strain.
Next: 4.1.3 High Values of
Up: 4.1 Unprimed Subbands
Previous: 4.1.1 Scaled Energy Dispersion
T. Windbacher: Engineering Gate Stacks for Field-Effect Transistors