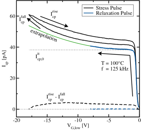
As demonstrated above, during an OFIT measurement a distortion of
due
to oxide charges and due to the creation of defects during the low-level is
monitored. In order to analyze this distortion,
is determined to be the
lowest value of
at which no hysteresis is observed. The dataset
is then used to extrapolate the impact of oxide charges
down to the stress-level. It is not possible to obtain this information
from the stress pulse because of the contribution of both parts
and
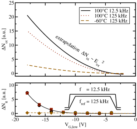
. Quite remarkably, the data [78] can be fit by a quadratic
polynomial, consistent with our NBTI experiments where we also observe a
quadratic (
) dependence of the hole-trapping component [99, 18, 98].
The hole-trapping theory developed in [98] was applied to our data and
excellent agreement was obtained. The difference between the actual signal
(
) and the extrapolated curve in Fig. 5.15 and Fig. 5.16 finally gives
.

for the stress pulse (
=
) and the relaxation pulse (
=
), shown in
Fig. 5.13. To decompose the contribution of oxide charges and additional
interface states we look at the difference
. In the range
, this difference is constant, implying no additional
creation of interface states. From this ‘safe window’ we extrapolate to
the minimum low-level to estimate the contribution due to oxide charges.
Note that the first branches
of the stress and relaxation pulse differ
from each other due to pre-stress pulses between
and
. In fact, when using fresh devices for each measurement all
would coincide.
In Fig. 5.15 and Fig. 5.16 the extraction algorithm for
and
is
demonstrated. Stress and relaxation pulse responses both consist of two branches,
one falling and one rising, as marked by arrows. In the falling branch,
varies from
to
. In the rising branch,
varies from
to
. Only pulses with constant
(or even without a hysteresis, i.e.
) can be used to create an extrapolation guess for higher
.
This ‘safe window’ ranges from
to
, where both branches are
indistinguishable.

.
The extracted components for different temperatures and frequencies are
given in Fig. 5.17. The additionally created oxide traps
depend on
frequency as well as on temperature and clearly show
behavior.
The hysteresis due to additionally created traps
is independent of
frequency, but strongly dependent on temperature.

follows
, and depends on the frequency as well as on the temperature.
The hystereses displayed in the previous figures are due to additionally
created traps,
, which are independent of the frequency but strongly
dependent on the temperature.