next up previous contents
Next: 3. The Semiclassical Transport Up: Dissertation Gerhard Karlowatz Previous: 1. Introduction

Subsections



2. Strain Related Effects on the Band Structure

In this chapter a short introduction to the theory of stress and strain in elastic bodies is given. To improve the performance of FBMC simulations it is important to take advantage of the symmetry properties of the band structure. Therefore, the symmetry properties of the reciprocal diamond lattice are investigated in detail for several strain conditions.

2.1 Definition of Stress

To keep a body in static equilibrium the sum of all forces acting on it must be zero. If a small cubicle volume as depicted in Figure 2.1 of the body is considered, forces act on the surfaces . The index i indicates one of the surface planes. The stress vector is then defined as the limit [Bir74]

(2.1)

Figure 2.1: Stress components acting on an infinitesimal cube.
\includegraphics[scale=1.1, clip]{inkscape/stressExp2.eps}
As depicted in Figure 2.1, each of the three stress vectors can be decomposed into two components within the plane, the so called shear stress components, and one normal component. The total number of six shear stress components and three normal stress components can be lumped together into the stress tensor

(2.2)

To fulfill the condition of static equilibrium, the shear stress components across a diagonal are identical,

(2.3)

which leads to six independent components in the stress tensor.

2.2 Definition of Strain

Stress forces within a body cause an elastic deformation which is called strain. Two points at locations and within a relaxed body move under deformation caused by stress to the locations and . The absolute squared distance between the deformed points can then be obtained as [Bir74]

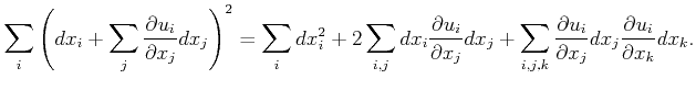
$\displaystyle \sum_i { \left(dx_i + u_i(\mathbf{x}+d \mathbf{x})-u_i(\mathbf{x}...
... { \left(dx_i + \sum_j{ \frac{\partial u_i}{\partial x_j }dx_j} \right)^2}   .$ (2.4)

Since is considered to be a small displacement, a Taylor expansion around can be performed, which gives for the the absolute squared distance

$\displaystyle \sum_i { \left(dx_i + \sum_j{ \frac{\partial u_i}{\partial x_j }d...
...{\frac{\partial u_i}{\partial x_j }dx_j\frac{\partial u_i}{\partial x_k} dx_k}.$ (2.5)

Since the first term in (2.5) is the squared distance between the points in the relaxed system the change in the squared distance caused by strain becomes

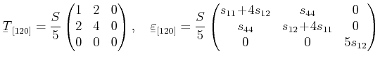
$\displaystyle = \sum_{i,j} {dx_i \left(\frac{\partial u_i}{\partial x_j} + \fra...
...{\frac{\partial u_k}{\partial x_i }\frac{\partial u_k}{\partial x_j }dx_idx_j }$    
  $\displaystyle = \sum_{i,j} dx_i\left[ { \left(\frac{\partial u_i}{\partial x_j}...
...\frac{\partial u_k}{\partial x_i }\frac{\partial u_k}{\partial x_j}}\right]dx_j$    
  (2.6)

Here, are the components of the strain tensor which are defined as

$\displaystyle \varepsilon _{ij} = \frac{1}{2}\left[\frac{\partial u_i}{\partial...
...rac{\partial u_k}{\partial x_i }\frac{\partial u_k}{\partial x_j} } \right]  .$ (2.7)

If the strain is small enough such that holds, the second order term in (2.7) can be neglected. This simplifies the resulting tensor components to

(2.8)

The strain tensor is therefore symmetric

$\displaystyle \ensuremath{{\underaccent{\bar}{\varepsilon }}} = \begin{pmatrix}...
...yz}  \varepsilon _{xz} & \varepsilon _{yz} & \varepsilon _{zz} \end{pmatrix}.$ (2.9)

In literature sometimes the so called engineering shear strain definition is used. The engineering shear strain for is given by the relation

(2.10)


2.3 Stress-Strain Relations

By observation of the behavior of spring systems, Robert Hooke [Hooke78] first identified a mathematical relation between stress and strain. Hooke's Law denotes

(2.11)

Here, is the material-dependent spring constant, is the applied force, and is the resulting deformation of the spring. Later Cauchy generalized Hooke's law for application to three dimensional elastic bodies

(2.12)

where is the elastic stiffness tensor of order four. The tensor contains 81 components. Since there are only six independent components in the stress and strain tensors they can be written in a contracted notation as six component vectors. In this formulation the elastic stiffness tensor simplifies to a 6x6 matrix.

The number of independent components in the elastic stiffness tensor is further reduced by symmetry properties of the considered crystal [Kittel96]. For cubic semiconductors such as Si, Ge or GaAs, the elastic stiffness tensor contains only three independent components, , and , which lead to a stress-strain relation of the form

$\displaystyle \begin{pmatrix}T_{xx}  T_{yy}  T_{zz}  T_{yz}  T_{xz}  ...
...\varepsilon _{yz}  2\varepsilon _{xz}  2\varepsilon _{xy}  \end{pmatrix}.$ (2.13)

The factor 2 in the notation of the off-diagonal elements of the strain tensor stems from the fact, that in literature the values of the elastic stiffness constants are usually given for the engineering strain notation. The values for the elastic stiffness constants of Si and Ge are given in Table 2.1.

Table 2.1: Elastic stiffness constants of Si and Ge [Levinshtein99].
  Si Ge Units
166.0 126.0 GPa
64.0 44.0 GPa
79.6 67.7 GPa


In the case that the stresses are known, the values for the strains have to be determined by inversion of (2.12). With the introduction of the elastic compliance tensor , the inverted equation reads

(2.14)

or in matrix form for the specific symmetry properties of the diamond lattice

$\displaystyle \begin{pmatrix}\varepsilon _{xx}  \varepsilon _{yy}  \varepsi...
...trix}T_{xx}  T_{yy}  T_{zz}  T_{yz}  T_{xz}  T_{xy}  \end{pmatrix}.$ (2.15)

The elastic compliance constants are related to the elastic stiffness constants by

(2.16)
     
(2.17)
     
(2.18)

It should be noted that in literature the stiffness constants are consistently represented by the symbol , while is used for the compliance constants.

2.3.1 Notation of Planes and Directions in a Crystal

To specify directions and planes in a crystal the Miller index notation is commonly used [Ashcroft76,Kittel96]. The Miller indices of a plane are defined in the following way: In a first step three lattice vectors, which form the axis of the crystallographic coordinate system have to be found. In cubic crystal systems, the lattice vectors are chosen along the edges of the crystallographic unit cell. Second the points where a crystal plane intercepts the axes are derived and their coordinates are transformed into fractional coordinates by dividing by the respective cell dimension. In a last step the Miller indices are obtained as the reciprocals of the fractional coordinates. For a cubic crystal they are given as a triplet of integer values . A Miller index 0 indicates a plane parallel to the respective axis. Negative indices are defined by a bar written over the number. To denote all planes equivalent by symmetry, the notation is used.

It is also common to indicate directions in the basis of the lattice vectors by Miller indices with square brackets like in . The notation is used to indicate all directions that are equivalent to by crystal symmetry.

Figure 2.2 depicts the Miller notation for several planes in the cubic system. The Miller indices of a plane coincide with those of the direction perpendicular to the plane.

Figure 2.2: Three planes in the cubic system along with their Miller indices.
\includegraphics[scale=3.4, clip]{inkscape_fig/miller.fig3.eps}

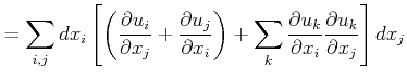
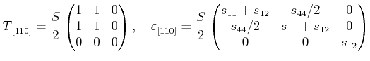
2.3.2 Stress Applied Along Symmetry Directions

Uniaxial stress applied along symmetry directions of the cubical crystal is of technological importance since it is preferably used in actual devices. The stress and strain tensors in the principal coordinate system of the crystal are given in the following for uniaxial stress of magnitude S applied along [100], [110], [111] and [120] directions, respectively. Here, the strain tensors are calculated by inserting the corresponding stress tensors in (2.15).

$\displaystyle \ensuremath{{\underaccent{\bar}{T}}}_{[100]} = S \begin{pmatrix}1...
...\begin{pmatrix}s_{11} & 0 & 0  0 & s_{12} & 0  0 & 0 & s_{12} \end{pmatrix}$    

$\displaystyle \ensuremath{{\underaccent{\bar}{T}}}_{[110]} = \frac {S} {2} \beg...
...& s_{44}/2 & 0  s_{44} /2 & s_{11}+s_{12} & 0  0 & 0 & s_{12} \end{pmatrix}$    

$\displaystyle \ensuremath{{\underaccent{\bar}{T}}}_{[111]} = \frac {S} {3} \beg...
...{11}+2s_{12} & s_{44}/2  s_{44} /2 & s_{44} /2 & s_{11}+2s_{12} \end{pmatrix}$    

$\displaystyle \ensuremath{{\underaccent{\bar}{T}}}_{[120]} = \frac {S} {5} \beg...
...{44} & 0  s_{44} & s_{12}\!+\!4s_{11} & 0  0 & 0 & 5 s_{12} \end{pmatrix}$ (2.19)

Biaxial strain can be introduced in Si by epitaxially growing a Si layer on an SiGe substrate, which features a different lattice constant. The Si layer adjusts to the lattice constant of the SiGe substrate and becomes globally biaxially strained. If the interface is a -plane the strain tensor reads [Hinckley90]

$\displaystyle \ensuremath{{\underaccent{\bar}{\varepsilon}}}_{(001)} = \varepsi...
... 0 & 1 & 0  0 & 0 & \displaystyle -\frac{2 c_{12}}{c_{11}}  \end{pmatrix},$ (2.20)

where is the strain in the interface plane, related to the lattice mismatch via

(2.21)

Here denotes the lattice constant of relaxed Si and that of the substrate layer. Note that biaxial strain in the (001)-plane leads to the same form of the strain tensor as uniaxial stress in [001]-direction.


2.4 Configuration of the Diamond Structure

A Bravais lattice is an infinite set of points generated by discrete translation operations. Each lattice point is made up by one ore more atoms which are called the basis. In the most simple case the basis consists of one atom. It can be derived by point group theory that there exist 14 different Bravais lattices which are divided into seven crystal systems [Bir74]. The lattices within one system share the same point group symmetry operations. Figure 2.3 shows this classification with the properties of each system regarding angles and lengths of their elementary cells.

Figure 2.3: Bravais lattices in three dimensions [Anghel03]
\includegraphics[width=1\linewidth]{figures//Bravais_table.epsi}

Figure 2.4 depicts the structure of the diamond lattice, which is the lattice of group IV semiconductors such as Si and Ge. The basis consists of two atoms at and and the basis vectors , and . The lattice can also be described as two inter-penetrating face centered cubic (fcc) lattices, one displaced from the other by a translation of along a body diagonal.

Figure 2.4: Crystallographic unit cell of the diamond structure. The primitive basis vectors and the two atoms forming the basis are shown.
\includegraphics[width=3.5in]{inkscape/DiamondLattice_g.eps}

For group IV semiconductors the two basis atoms are identical, whereas for III-V semiconductors such as GaAs, AlsAs, InAs, or InP the basis atoms are different and the structure is called the zinc-blende structure.

The basis vectors of the Bravais lattice read

$\displaystyle \vect a_1 = \frac{a_0}{2} \begin{pmatrix}0  1  1 \end{pmatrix...
...d}\quad \vect a_3 = \frac{a_0}{2} \begin{pmatrix}1  1  0 \end{pmatrix}   .$ (2.22)

The lattice is invariant for all translations from a lattice vector to a lattice vector of the form

(2.23)

where and are integers.


2.5 The Strained Diamond Structure

Generally, applying strain to a crystal reduces its symmetry. The basis vectors of the strained Bravais lattice can be directly obtained by a transformation of the vectors of the unstrained crystal [Bir74]

(2.24)

The volume of the strained primitive cell can be obtained as

(2.25)

where is the hydrostatic strain component

(2.26)

Strain can also cause a change of the Bravais lattice type. The resulting Bravais lattice can be determined by looking up Figure 2.3. Since it is not straight forward to find the transitions between lattice types by intuition the following guidance may be convenient.

2.5.1 The Point Group Symmetry Operations

To describe the lattice symmetry properties on a more formal basis a definition of the possible point operations is needed:


E  unity operation 

n clockwise rotation of angle around axis
n counter-clockwise rotation of angle around axis
I inversion
clockwise rotation of angle around axis followed by inversion
counter-clockwise rotation of angle around axis followed by inversion
where is in one out of five sets of rotation axes



 = 

 

=
=
=
=

Table 2.2 [Yu03] lists the resulting point groups in Schönfließ notation when applying strain to the diamond lattice. Starting point is the unstrained diamond structure denoted by . denotes the number of elements of the point group which is 48 for and is decreased under strain as indicated in the table.


Table 2.2: Point group and symmetry elements of strained lattices that originate when stress is applied along various high symmetry directions to an initially cubic lattice . Schönfließ symbols are used to specify the point groups. denotes the number of elements of the point group.
\begin{table}\centering
\begin{tabular*}{\textwidth}{@{\extracolsep{\fill}}lccc}...
...$\\
$S_{2}$ & E I & 2 & other directions\\
\hline
\end{tabular*}
\end{table}



2.6 The Reciprocal Lattice

The basis vectors of the reciprocal lattice are related to the basis vectors of the Bravais lattice via

(2.27)

Relations (2.27) and (2.22) give the reciprocal basis vectors

$\displaystyle \vect b_1 = \frac{2\pi}{a_0} \begin{pmatrix}-1  \hphantom{-}1 \...
...2\pi}{a_0} \begin{pmatrix}\hphantom{-}1  \hphantom{-}1  -1 \end{pmatrix} .$ (2.28)

General reciprocal lattice vectors have the form

(2.29)

where and are integers.

The unit cell of the reciprocal lattice is the Brillouin zone. It contains all points nearest to one enclosed lattice point. Due to periodicity of the reciprocal lattice only the first Brillouin zone has to be considered for band structure calculation. The shape of the first Brillouin zone is determined by the boundary faces

$\displaystyle \vert k_x\vert + \vert k_y\vert + \vert k_z\vert = \frac{3}{2} \f...
...rac{2\pi}{a_0} ,\quad\mathrm{and} \quad \vert k_z\vert = \frac{2\pi}{a_0}   .$ (2.30)

These faces are constructed by finding the reciprocal lattice vectors pointing from the origin to the fourteen nearest lattice points and take perpendicular planes to these vectors at a position where the planes bisect the vectors [Jungemann03].

The volume for band structure calculation can be further reduced by taking into account that the symmetry operations for the reciprocal lattice are the same as for the Bravais lattice. Therefore the symmetry elements given in Table 2.2 can be directly applied to the reciprocal lattice cell. The smallest possible domain in the Brillouin zone is termed the irreducible wedge. Figure 2.5 depicts the first Brillouin zone highlighting the irreducible wedge as well as one octant.

Figure 2.5: Brillouin zone of Si highlighting the first octant and the first irreducible wedge.
\includegraphics[width=4.15in]{inkscape/brillouin3.eps2}
Figure 2.6: The irreducible wedge of the diamond structure showing important symmetry points.
\includegraphics[width=4.15in]{inkscape/Octant3.eps}

Figure 2.6 shows one octant of the Brillouin zone and a detailed view of the irreducible wedge with the location of some symmetry points as they are usually named in literature.


2.6.1 The Relaxed Diamond Structure: Symmetry

The point group refers to the relaxed diamond structure. It contains 48 symmetry elements which are listed in Table 2.2. From these symmetry properties follows that the energy bands are invariant under eight reflections

(2.31)

and six permutations

   
(2.32)

The choice of the irreducible wedge as shown in Figure 2.6 is not unique. If the irreducible wedge is allowed to exceed the borders of the Brillouin zone, simpler shapes can be found [Stanley98]. Figure 2.7 depicts the conduction and valence bands of unstrained Si along lines from one symmetry point to another.

Figure 2.7: Valence and conduction bands of Si.
\includegraphics[width=4in]{xmgrace-files/Si_bandstructure3.eps}


2.6.2 The Biaxially Strained Diamond Structure: Symmetry

Biaxial strain applied in a plane of a cubic lattice transforms the cell from to the symmetry, a member of the tetragonal crystal class [Bir74]. The same symmetry reduction is observed, if uniaxial strain along a fourfold axis is applied. The point group has 16 remaining symmetry elements. The symmetry operations maintain invariance of the energy bands under reflections

(2.33)

The invariance of the energy bands under permutation depends on the direction of stress, since only the indices perpendicular to the stress direction can be permuted, which gives in the case of stress along

(2.34)

Figure 2.8 shows a possible choice for the irreducible wedge of the system. The wedge fits into the first octant of the Brillouin zone and has a volume of .

Figure 2.8: Irreducible wedge of a diamond structure strained along direction .
\includegraphics[width=3.6in, clip]{figures/sispad_100_2.eps2}


2.6.3 D Symmetry

Figure 2.9: Irreducible wedge of a diamond structure stressed along direction .
\includegraphics[width=3.6in, clip]{figures/sispad_110_2.eps2}

The cube of the crystal class is converted to a parallelepiped of the orthorhombic system belonging to when uniaxial stress is applied along or when biaxial strain is applied in a plane. Equation (2.19) exhibits the form of the strain tensor [Bir74] which includes off-diagonal elements. As a result the unit cube is sheared and the angles between the basis vectors are altered.

The group has only eight symmetry elements (given in Table 2.2). A possible irreducible wedge with a volume of is depicted in Figure 2.9. The irreducible wedge is any of the eight octants of the Brillouin zone. It should be noted that the group can also be reached by applying strain to the class along two of the three fourfold axes . In this case, the strain tensor consists of three different diagonal elements , , and and vanishing off-diagonal components.


2.6.4 Symmetry

Under arbitrary stress - that is stress along directions other than those given in Table 2.2 - no rotational symmetries remain. The crystal is invariant only under inversion and therefore a member of the crystal class . In this case half of the Brillouin zone must be chosen as the irreducible volume for band structure calculation and for the transport simulation.


2.6.5 Utilizing Symmetry Properties in Monte Carlo Simulation

Due to the symmetry properties of the reciprocal lattice the simulation domain is restricted to the first Brillouin zone. All wave vectors exceeding the first Brillouin zone are mapped back via subtracting a reciprocal lattice vector

(2.35)


Table 2.3: Mirroring operations for transitions between octants of the Brillouin zone.
  0 1 2 3 4 5 6 7
0   x y xy z xz yz xyz
1 x   xy y xz z xyz yz
2 y xy   x yz xyz z xz
3 xy y x   xyz yz xz z
4 z xz yz xyz   x y xy
5 xz z xyz yz x   xy y
6 yz xyz z xz y xy   x
7 xyz yz xz z xy y x  


As illustrated in the last section, only the irreducible wedge is needed as the actual simulation domain. Mapping a carrier back to the domain of the irreducible wedge is more complicated as a coordinate transformation is necessary after applying equation (2.35) and every possible shape of the irreducible wedge demands for its own set of transformation rules.

To keep the code simple only two sizes of the simulation domain are implemented in the simulator: if the irreducible wedge fits into the first octant then the first octant is chosen as the domain, if it exceeds the first octant one half of the Brillouin zone is chosen. Since these domains can be larger then the irreducible wedge it may be necessary to extend the original band structure data by permutation.

In the case of the first octant as the simulation domain the octants are numbered as shown in Figure 2.10. If the carrier crosses the Brillouin zone border in a first step it is mapped back by subtraction of a lattice vector. In a second step it is mapped into the first octant by a coordinate transformation. This coordinate transformation is simply realized by a set of mirror operations as shown in Table 2.3. The table entries indicate which of the coordinates , and have to be mirrored for a specific transition from one octant to another. The transformation is applied to the particle -vector and to the force vector (see also equation of motion (3.3)).

If the carrier is crossing a border to another octant within the Brillouin zone, the mirror operations are applied to map it back to the first octant.

If one half of the Brillouin zone is used as the simulation domain there is only one mirroring operation: all three coordinates of the -vector and the force vector are mirrored if a transition from one halfspace to the other occurs.

Figure 2.10: Numbering of the octants of the first Brillouin zone. The first octant is labeled 0.
\includegraphics[width=0.7\linewidth]{figures/octants.svg.eps}

next up previous contents
Next: 3. The Semiclassical Transport Up: Dissertation Gerhard Karlowatz Previous: 1. Introduction

G. Karlowatz: Advanced Monte Carlo Simulation for Semiconductor Devices