next up previous contents
Next: 6.3 Distribution Function Based Up: 6. Hot-Carrier Reliability Modeling Previous: 6.1 Characteristics of Hot-Carrier

Subsections



6.2 Review of Modeling Approaches

During decades of hot-carrier degradation investigations, different modeling approaches have been proposed. Most models concentrate on the degradation of the $ \mathrm{Si-SiO_2}$ interface where the creation of interface states due to bond breaking has to be captured. Many of these approaches are phenomenological and use empirical expressions to describe the degradation. Therefore, they commonly only work for a special group of devices and have limited validity. Their predictive character is commonly low, and scaling of devices often requires parameter re-calibration. As a result, the need for models reproducing the physical phenomena responsible for hot-carrier degradation has grown. Therefore, it is of great importance to reveal and capture the physical picture behind HCD and be able to predict the degradation of arbitrary devices.

The electric field has long been used as the main driving force for the degradation process. But it soon became clear that the electric field alone is often not enough for proper modeling and the carrier energy distribution needs to be considered. One of the most important physical modeling approaches considering the carrier energies can be found in the work of Hess [236], Rauch and La Rosa [212], and Bravaix [223].


6.2.1 Lucky Electron Approach

Hu et al. [203] proposed a model for interface trap generation, assuming that bond dissociation is triggered by hot-carriers having energies above a certain threshold energy level $ \phi_{\mathrm{it}}$ (assumed to be 3.7 eV in [203]). Deduced from the lucky electron concept [192], a relation for the interface trap generation can be written similarly to the lucky electron model used for impact-ionization in (5.17) as

$\displaystyle \ensuremath{\Delta N_\mathrm{it}}= C_2 \left[ t \frac{\ensuremath...
...suremath{\mathrm{q}}\ensuremath{E_{\mathrm{max}}}\lambda } \Bigr) \right] ^ n .$ (6.1)

In this model the trap generation rate depends on the maximum lateral electric field $ E_{\mathrm{max}}$ and the drain current $ I_\mathrm{D}$ . $ W$ is the device width, while $ \ensuremath{I_\mathrm{D}}/W$ is interpreted as the supply of cold carriers. The exponential expression depicts the probability that a carrier is accelerated without collisions over a distance $ \lambda $ to gain the energy $ \ensuremath{\mathcal{E}}_\mathrm{IT}.$ The exponent $ n$ describes how $ \Delta N_\mathrm{it}$ increases over time. For this empirically derived model, Hu presented in the same work a physical explanation based on the reaction-diffusion model leading to the same expression. For an estimation of the relation between substrate current and interface trap generation, one can combine the lucky electron model for impact-ionization (5.17) and for hot-carrier degradation (6.1) which results in

$\displaystyle \ensuremath{\Delta N_\mathrm{it}}= C \left[ t \frac{\ensuremath{I...
...th{\mathcal{E}}_\mathrm{IT}/\ensuremath{\mathcal{E}}_\mathrm{II}} \right] ^ n .$ (6.2)

In this approach, the device life-time $ \tau$ is simply defined as the time until a certain critical value of $ \ensuremath{\Delta N_\mathrm{it}}$ has been reached. Applying this, the lifetime can be estimated using

$\displaystyle \tau \propto \frac{W}{\ensuremath{I_\mathrm{D}}} \Bigl( \frac{\en...
... {\ensuremath{\mathcal{E}}_\mathrm{IT}/\ensuremath{\mathcal{E}}_\mathrm{II}}} .$ (6.3)

The equations lead to the conclusion that the worst-case condition for hot-carrier degradation coincides with the maximum substrate current.

This simple and often used model from the year 1985 cannot reproduce the degradation in modern devices. In extremely down-scaled devices the limitations of the model become clear: due to the small extensions the non-locality of the electric field leads to overestimated degradations. On the other hand, in low-voltage operation the energies stay below the threshold energy leading to vanishing degradation. Although the model shows to deliver wrong results for advanced and especially for highly down-scaled devices, it is still used for extrapolations of the device life-time and might still be the most widely used model. There are also extensions of the lucky electron model presented by different authors. Among them are Takeda and Suzuki [237], Goo [238], and Dreesen [239].


6.2.2 Hess Model

The work of Hess et al. [230,235,236] incorporates the two degradation mechanisms, the SP and MP processes, within the same framework. Breaking a bond means the release of bound hydrogen and the related desorption rate is derived considering the two degradation mechanisms: $ R
\approx R_\ensuremath{\mathrm{SP}}+ R_\ensuremath{\mathrm{MP}}.$ Since these processes are not fully independent, this separation is only assumed to be an approximation.

The SP process describes the excitation of one of the bonding electrons to an anti-bonding state by a solitary hot carrier. Such an excitation leads to dissociation of the bond followed by release of the hydrogen atom. The dissociation rate can be estimated using

$\displaystyle R_\ensuremath{\mathrm{SP}}\propto \int_{\ensuremath{\ensuremath{\...
...ma(\ensuremath{\mathcal{E}}) \ensuremath{ \mathrm{d}}\ensuremath{\mathcal{E}},$ (6.4)

where $ I(\ensuremath{\mathcal{E}})$ is the flux of carriers, i.e. the current of the carriers in the energy range $ [\ensuremath{\mathcal{E}}; \ensuremath{\mathcal{E}}+\ensuremath{ \mathrm{d}}\ensuremath{\mathcal{E}}],$ $ P(\ensuremath{\mathcal{E}})$ the desorption probability, and $ \sigma(\ensuremath{\mathcal{E}})$ the Keldysh-like reaction cross section (compare (5.21)). The lower boundary of the integration, $ \ensuremath{\ensuremath{\mathcal{E}}_\mathrm{th}},$ represents the minimum threshold energy required to break an interface bond with a single carrier.

The MP desorption rate is described in this model using the truncated harmonic oscillator (see Fig. 6.2) which can also be used to explain the giant isotope effect [234]. The bond energetics is described by a ladder of $ N$ bonded levels. The MP process initiates an excitation of the bond and an increase of the energy climbing the ladder of the energetic states. The vibrational mode excitation ends when the hydrogen is situated on the last bonded state. If the next portion of energy deposited by channel carriers exceeds the emission energy $ \ensuremath{\mathcal{E}}_\mathrm{emi},$ the hydrogen is released to the transport state. In the reverse direction the passivation rate is determined by the barrier energy $ \ensuremath{\mathcal{E}}_\mathrm{pass}.$

Figure 6.2: The Si-H as the truncated harmonic oscillator. The multiple vibrational bond is schematically shown. Phonon absorption shifts the energy state up, emission a step down. From the topmost bonding state the hydrogen release, i.e. bond de-passivation, is possible.
\includegraphics[height=45mm]{figures/harmonic_oscillator_html}

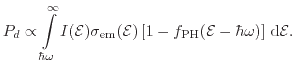
Finally the desorption rate for de-passivation due to the MP process is written as [230]

$\displaystyle R_\ensuremath{\mathrm{MP}}\propto \left\{ \left( \frac{\ensuremat...
...ht] ^ {-\frac{\ensuremath{\mathcal{E}}\mathrm{b}}{\ensuremath{\hbar \omega}}} ,$ (6.5)

where $ \ensuremath{\mathcal{E}}_\mathrm{b}$ is the energy from the bottom of the energy well to the highest step of the energy ladder (see Fig. 6.2, [240]), $ \ensuremath{\hbar \omega}$ is the phonon-energy of the Si-H (Si-D) bond, and $ \tau$ is the phonon life-time. The rates for vibrational mode excitation and decay between are described using the phonon absorption and emission rates $ P_u$ and $ P_d$ :

$\displaystyle P_u \propto \int_0 ^{\infty} I(\ensuremath{\mathcal{E}}) \sigma_\...
...emath{\hbar \omega}) \right] \ensuremath{ \mathrm{d}}\ensuremath{\mathcal{E}},$ (6.6)

$\displaystyle P_d \propto \int_{\ensuremath{\hbar \omega}}^{\infty} I(\ensurema...
...emath{\hbar \omega}) \right] \ensuremath{ \mathrm{d}}\ensuremath{\mathcal{E}}.$ (6.7)

$ \sigma_\mathrm{em}$ and $ \sigma_\mathrm{ab}$ are the scattering cross-sections for bond-phonon emission and absorption, respectively, and $ f_\mathrm{PH}(\ensuremath{\mathcal{E}})$ is the phonon occupation number.

In the model of Hess there are two important findings. First, the incorporation of the MP process for degradation modeling using the truncated harmonic oscillator model which agrees with the findings of the giant isotope effect. Second, the importance of the knowledge of the carrier energy distribution which is contained implicitly in $ I(\ensuremath{\mathcal{E}}).$ These peculiarities become important ingredients of other models presented later in this chapter.

Later, Hess highlights in [235] that threshold and activation energies are statistically scattered. It is shown that such a dispersion is an explanation for degradation time slopes lower than 1/2 [241], which cannot be explained using first-order kinetic equations for the interface bond-breakage. Additionally, the existence of two dominant activation energies widened due to the interface disorder has been suggested [236,242] explaining the different power-law slopes observed in degradation measurements as

$\displaystyle N_\mathrm{it} \approx \frac{p_1}{1+(t/\tau_1)^{-\alpha_1}} + \frac{p_2}{1+(t/\tau_2)^{-\alpha_2}} ,$ (6.8)

where $ p_1$ and $ p_2$ represent the probabilities of the realization of one of the dominant energies, $ \tau_1$ and $ \tau_2$ are characteristic times, and $ \alpha_1$ and $ \alpha_2$ describe the two different time slopes. The activation energies $ \ensuremath{\mathcal{E}}_{a,1}$ and $ \ensuremath{\mathcal{E}}_{a,2}$ can be modeled by the derivative of the Fermi-Dirac function [236,242] using

$\displaystyle f(\ensuremath{\mathcal{E}}_{a,i}) = \frac{1}{\sigma_{a,i}} \frac{...
...{E}}_{a,i}} - \ensuremath{\mathcal{E}}_{a,i}}{\sigma_{a,i}}\right) \right]^2} ,$ (6.9)

where the index $ i$ is either 1 or 2 for $ \ensuremath{\mathcal{E}}_{a,1}$ and $ \ensuremath{\mathcal{E}}_{a,2},$ respectively. The corresponding mean values and the standard deviations are $ \overline{\ensuremath{\mathcal{E}}_{a,i}}$ and $ \sigma_{a,i},$ respectively.

The microscopic modeling approach proposed by Hess incorporates many vital ingredients. The main breakthrough of the model is the consideration of competing SP and MP processes for interface trap creation and the employment of the formalism where the bond is modeled as a truncated harmonic oscillator. The missing features in this models are as follows: In the way the models were used, no solution for incorporating the real carrier energy distribution function was presented or applied. Another drawback is the missing link to the device level, the degradation is only described by the concentration of generated traps.

6.2.3 Energy Driven Approach by Rauch and La Rosa

Based on the lucky electron approach, La Rosa et al. [211] have assumed that the interface state generation is due to breaking of the Si-H interface bonds followed by the diffusion of hydrogen. This reaction is assumed to be reversible. The calculation of the degradation follows the approach used for impact-ionization already shown in Section 5.2.6, reading

$\displaystyle \ensuremath{\ensuremath{\frac{\ensuremath{ \mathrm{d}}N_\mathrm{...
..._c(\ensuremath{\mathcal{E}}) \ensuremath{ \mathrm{d}}\ensuremath{\mathcal{E}}.$ (6.10)

Here $ f_c(\ensuremath{\mathcal{E}})$ is the carrier energy distribution function, $ S_\mathrm{IT}(\ensuremath{\mathcal{E}})$ is the desorption cross section and $ F(\ensuremath{I_{\mathrm{S}}})$ is a function of the source current which appears to be either linear as $ F(\ensuremath{I_{\mathrm{S}}})=\ensuremath{I_{\mathrm{S}}}$ or quadratic as $ F(\ensuremath{I_{\mathrm{S}}})=\ensuremath{I_{\mathrm{S}}}^2.$ Also, for the interface state generation, the approximation (5.24) is applied, reducing (6.10) to a sum of products. In the following cases, a single dominant energy will be extracted reducing the equation to a single term.

Rauch et al. have shown in [212] that especially in the range of low operating voltages in short channel n-MOS devices the degradation can be explained by considering electron-electron scattering. This scattering mechanism increases the number of high energetic carriers leading to a significant hump in the carrier energy distribution function (see Fig. 6.3).

Figure 6.3: Carrier energy distribution function $ f(\ensuremath {\mathcal {E}}),$ desorption cross section $ S(\ensuremath {\mathcal {E}}),$ and resulting integrand with data taken from [243]. The two maxima of the rate are found at $ \ensuremath {\mathrm {q}}\ensuremath {V_{\mathrm {eff}}}$ and $ \ensuremath {\mathrm {q}}m_\mathrm {EE} \ensuremath {V_{\mathrm {eff}}}$ and are used for modeling the HCD rate.
\includegraphics[height=69mm]{figures/it_rauch}

The integrand in (6.10) therefore gives two maxima, one at the energy $ \ensuremath {\mathrm {q}}\ensuremath {V_{\mathrm {eff}}}$ and one at $ \ensuremath{\mathrm{q}}m_{EE} \ensuremath{V_{\mathrm{eff}}}.$ The first one is dominated by the knee near the maximum energy available from the steep potential drop at the drain [211] and can be approximated like shown for impact-ionization modeling (compare (5.28)). The second maximum comes from the hot-energy tail caused by the electron-electron scattering. This maximum is located at an energy approximately twice as high as the first one. Electron-electron scattering increases quadratically with $ \ensuremath{I_{\mathrm{S}}}$ [213] explaining the quadratic regime of (6.10).

Similar to the approach for the impact-ionization rate in (5.24), Rauch et al. used dominant energies in the model. Here this leads to two discrete maximum energies giving

$\displaystyle \ensuremath{\ensuremath{\frac{\ensuremath{ \mathrm{d}}N_\mathrm{...
...\mathrm{S}}}S_\mathrm{IT}(\ensuremath{\mathrm{q}}\ensuremath{V_{\mathrm{eff}}})$ (6.11)

for the linear regime and

$\displaystyle \ensuremath{\ensuremath{\frac{\ensuremath{ \mathrm{d}}N_\mathrm{...
...}}^2 S_\mathrm{IT}(\ensuremath{\mathrm{q}}m_{EE} \ensuremath{V_{\mathrm{eff}}})$ (6.12)

for the quadratic regime.

The emphasis of this modeling approach is again based on the importance of the carrier energy instead of the electric field. To receive an applicable model, the concept of estimating a single peak energy using the effective field instead of calculating the whole distribution function is used to make the calculations more simple.

6.2.4 Bravaix Model

In the hot-carrier degradation modeling approach by Bravaix et al. [223,244], three different modes depending on the carrier energy can be separated. The first mode is the high carrier energy regime, which usually coincides with lower currents. In this situation the lucky electron model appears valid. This SP degradation is used together with the dominant energy approach at knee points as proposed by Rauch et al. in (6.11). The device life-time in this regime is taken from (6.3) and is estimated with

$\displaystyle \frac{1}{\tau_\ensuremath{\mathrm{SP}}} \sim \frac{\ensuremath{I_...
... ^{\ensuremath{\mathcal{E}}_\mathrm{IT}/\ensuremath{\mathcal{E}}_\mathrm{II}} ,$ (6.13)

based on substrate- ( $ \ensuremath{I_{\mathrm{Sub}}}$ ) and drain-current ( $ \ensuremath{I_\mathrm{D}}$ ), device width $ W,$ and the threshold energy levels $ \ensuremath{\mathcal{E}}_\mathrm{II}$ and $ \ensuremath{\mathcal{E}}_\mathrm{IT}$ for the impact-ionization and the SP bond dissociation process, respectively. The device-lifetime $ \tau_\ensuremath{\mathrm{SP}}$ in this model is defined as the time until a certain number of interface traps have been generated.

The second mode corresponds to the electron-electron scattering induced degradation, also proposed by Rauch et al. using the formulation shown in (6.12). This leads to the device life-time

$\displaystyle \frac{1}{\tau_\mathrm{EES}} \sim \left( \frac{\ensuremath{I_\math...
... ^{\ensuremath{\mathcal{E}}_\mathrm{IT}/\ensuremath{\mathcal{E}}_\mathrm{II}} .$ (6.14)

The quadratic dependence on the current is due to impact-ionization and thereby created additional electron-hole pairs which are further accelerated up to energies required for triggering the bond dissociation.

Finally the third mode is relevant at high electron fluxes but with carrier energies below the threshold energy for the SP process. Similar to the modeling approach by Hess, the MP mechanism is considered in this model. Furthermore, to describe the energetics of bond dissociation by this process the concept of the truncated harmonic oscillator shown in Fig. 6.2 is employed. The occupancies $ n_i$ of level $ i$ in the oscillator are described using rate equations. For the first and the following levels the rate equations are defined as [223]

$\displaystyle \ensuremath{\ensuremath{\frac{\ensuremath{ \mathrm{d}}n_0}{\ensuremath{ \mathrm{d}}t}}} = P_d n_1 - P_u n_0$ (6.15)

$\displaystyle \ensuremath{\ensuremath{\frac{\ensuremath{ \mathrm{d}}n_i}{\ensuremath{ \mathrm{d}}t}}} = P_d (n_{i+1} - n_i) - P_u ( n_i - n_{i-1}),$ (6.16)

with the rates $ P_d$ and $ P_u$ for bond excitation and decay. The great difference between the phonon life-time and the characteristic time of the hydrogen release suggests that the bonds reach the steady-state with $ \ensuremath{ \mathrm{d}}n_i/\ensuremath{ \mathrm{d}}
t = 0 $ practically immediately [223,231]. Therefore the occupancy of each level can be determined recurrently using the ground state

$\displaystyle n_i = \left( \frac{P_u}{P_d} \right) ^i n_0 .$ (6.17)

When the steady-state of the oscillator is assumed to be established the transition over the last barrier can be considered. Thus, the equation for the last bonded level $ N$ can be rewritten as

$\displaystyle \ensuremath{\ensuremath{\frac{\ensuremath{ \mathrm{d}}n_N}{\ensuremath{ \mathrm{d}}t}}} = P_u n_{N-1} - P_d \Delta N_\mathrm{it}[H^*] ,$ (6.18)

with the interface trap density $ \Delta N_{it}$ created during degradation and the concentration of the mobile hydrogen in the transport mode $ [H^*].$ The density of traps generated during the stress is linked to the hydrogen concentration via $ \Delta N_\mathrm{it}= [H^*] \lambda t.$ Combining this together with equations (6.17) and (6.18) leads to

$\displaystyle \Delta N_\mathrm{it}= \sqrt{n_0 \lambda \left( \frac{P_u}{P_d} \right) ^N} t^{0.5} .$ (6.19)

The rate $ \lambda $ corresponds to the thermally activated emission of the hydrogen atom over the barrier $ \ensuremath{\mathcal{E}}_\mathrm{emi}$ (see Fig. 6.2) and is expressed as $ \lambda = \nu \exp ( -
\ensuremath{\mathcal{E}}_\mathrm{emi} / \ensuremath{\mathrm{k_B}}T),$ where $ \nu$ is the attempt frequency. The derivation for (6.19) assumes a weak bond breakage intensity ( $ \lambda t \ll 1$ ) and is therefore only valid as long as $ \Delta N_\mathrm{it}$ is negligible compared to the whole population of Si-H bonds. The rates $ P_d$ and $ P_u$ consist of two components: the excitation and decay induced by the lattice and by a stimulation term (due to the carrier flux) for the vibrational modes $ S_\ensuremath{\mathrm{MP}}$ [223]

$\displaystyle P_u = S_\ensuremath{\mathrm{MP}}\left( \ensuremath{I_\mathrm{D}}/...
...{q}}\right) + w_e \exp (-\ensuremath{\hbar \omega}/ \ensuremath{\mathrm{k_B}}T)$ (6.20)

$\displaystyle P_d = S_\ensuremath{\mathrm{MP}}\left( \ensuremath{I_\mathrm{D}}/ \ensuremath{\mathrm{q}}\right) + w_e .$ (6.21)

The breaking rate caused by the MP process, $ R_\ensuremath{\mathrm{MP}},$ can be used to describe the creation of interface traps in the form $ \Delta N_\mathrm{it}= (R_\ensuremath{\mathrm{MP}}
t)^{0.5}.$ This rate evaluates to [223]

$\displaystyle R_\ensuremath{\mathrm{MP}}= n_0 \nu \left[ \frac{S_\ensuremath{\m...
...ac{\ensuremath{\mathcal{E}}_\mathrm{emi}}{\ensuremath{\mathrm{k_B}}T} \right) .$ (6.22)

Similar to the dominant energy approaches given by Rauch, Bravaix et al. suggest the approximation $ S_\ensuremath{\mathrm{MP}}\sim \left( \ensuremath{\mathrm{q}}\ensuremath{V_{\mathrm{DS}}}- \ensuremath{\hbar \omega}\right) ^{0.5}.$ With this approach, the life-time at a given temperature is estimated using

$\displaystyle \frac{1}{\tau_\ensuremath{\mathrm{MP}}} \propto \left[ \ensuremat...
...{W} \right) \right] ^{\ensuremath{\mathcal{E}}_b / \ensuremath{\hbar \omega}} .$ (6.23)

Under real stress/operating conditions all three modes presented contribute to the entire degradation process. Therefore all three regimes are taken into consideration in the Bravaix model. This finally leads to the device life-time

$\displaystyle \frac{1}{\tau_d} = \frac{P_\ensuremath{\mathrm{SP}}}{\tau_\ensure...
...thrm{EES}} + \frac{P_\ensuremath{\mathrm{MP}}}{\tau_\ensuremath{\mathrm{MP}}} ,$ (6.24)

with the fitting parameters $ P_\ensuremath{\mathrm{SP}},$ $ P_\mathrm{EES},$ and $ P_\ensuremath{\mathrm{MP}}.$

To summarize, the Bravaix modeling approach combines and enhances the lucky electron model, the electron-electron scattering, and the truncated harmonic oscillator used to model the MP process. This approach has been shown to fit a large range of different devices.


next up previous contents
Next: 6.3 Distribution Function Based Up: 6. Hot-Carrier Reliability Modeling Previous: 6.1 Characteristics of Hot-Carrier

O. Triebl: Reliability Issues in High-Voltage Semiconductor Devices