next up previous contents
Next: 3. Homogeneous Transport in Up: Dissertation Martin-Thomas Vasicek Previous: 1. Theory of Transport

Subsections


2. The Three-Dimensional Electron Gas

THIS CHAPTER investigates the validity of higher-order transport models on a series of the most popular test devices, one dimensional  $ \mathrm {n}^+\mathrm {n}\mathrm {n}^+$ structures. These topologies display similar features as a MOSFET and bipolar transistors like a distinctive velocity overshoot and a mixture of a hot and a cold distribution function in the drain region. Therefore, it is possible to study the basic behavior of macroscopic transport models for very small devices within $ \mathrm {n}^+\mathrm {n}\mathrm {n}^+$ structures without the additional levels of complexity introduced by two-dimensional MOS devices [130,21]. In order to consider the high-field case as accurately as possible, a transport model based on fullband MC tables is considered. The results of the MC based higher-order transport models are benchmarked against the SHE and MC simulations.


2.1 Table Based Macroscopic Transport Models

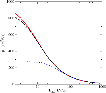
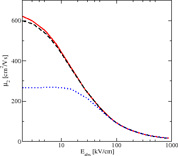
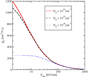
For an accurate description of higher-order transport models, it is important to model higher-order transport parameters with as few simplifying assumptions as possible [131,21]. The fullband bulk MC tables with respect to different doping concentrations and different driving fields are used as a base for a parameter interpolation within macroscopic transport models [132]. Fullband structure of the material, scattering mechanisms such as phonon induced scattering are now inherently considered in the MC tables, and in the following also in the transport model. Hence, approximate methods for the transport parameter modeling e.g. the low field mobility model after [110] are replaced by the MC table based model. Furthermore, the transport parameters of three-dimensional simulations can be expressed as a function of the doping concentration and the driving force. The extracted bulk parameter-set needed for higher-order macroscopic transport models is displayed in Fig. 2.1 and Fig. 2.2. Here the carrier mobility  $ \ensuremath {\ensuremath {\mu }_{\mathrm {0}}}$ and higher-order mobilities  $ \ensuremath {\ensuremath {\mu }_{\mathrm {1}}}$ and $ \ensuremath {\ensuremath {\mu }_{\mathrm {2}}}$ as a function of the electric field  $ \ensuremath {E}_{\mathrm {abs}}$ for different doping concentrations $ \ensuremath{N}_\mathrm{d}$ are presented. As can be observed, for fields above  $ {\mathrm{100}}{\;}{\mathrm{kV/cm}}$ the values of the mobilities are independent of the doping concentration, while for low fields and low doping concentrations, the carrier mobility is very high compared to low fields and high doping concentrations. The energy flux mobility and the second-order energy flux mobility are lower than the carrier mobility for low doping concentrations and low fields, while for low fields and high doping concentrations, the value of all three mobilities are comparable.
Figure 2.1: Carrier mobility $ \ensuremath {\ensuremath {\mu }_{\mathrm {0}}}$ , energy flux mobility $ \ensuremath {\ensuremath {\mu }_{\mathrm {1}}}$ , and second-order energy flux mobility $ \ensuremath {\ensuremath {\mu }_{\mathrm {2}}}$ versus driving field for different doping concentrations. For fields higher than $ {\mathrm{100}}{\;}{\mathrm{kV/cm}}$ , the mobilities are independent of the doping concentration, while for low fields the values of the mobilities of the low doping case is high compared to high doping concentrations.
\includegraphics[width=0.5\textwidth]{rot_figures_left/simulation/transport/nin/mob_bulk.eps} \includegraphics[width=0.5\textwidth]{rot_figures_left/simulation/transport/nin/mob1_bulk_si.eps} \includegraphics[width=0.5\textwidth]{rot_figures_left/simulation/transport/nin/mob2_bulk_si.eps}

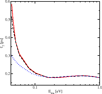
Fig. 2.2 presents the relaxation times  $ \ensuremath {\tau _\mathrm {1}}$ and  $ \ensuremath {\tau _\mathrm {2}}$ for different doping concentrations and as a function of the kinetic energy of the carriers. As can be seen, for high energies the relaxation times are doping independent and decrease due to the increase of optical phonon scattering. For high  $ \ensuremath{N}_\mathrm{d}$ , the MC simulations predict low relaxation times compared to low  $ \ensuremath{N}_\mathrm{d}$ .

Figure 2.2: Energy-relaxation time  $ \ensuremath {\tau _\mathrm {1}}$ and second-order energy relaxation time  $ \ensuremath {\tau _\mathrm {2}}$ extracted from bulk MC simulations as a function of the kinetic energy for different bulk dopings. For very high energies, the relaxation times decrease due to the increase of optical phonon scattering.
\includegraphics[width=0.5\textwidth]{rot_figures_left/simulation/transport/nin/tau1_bulk_si.eps} \includegraphics[width=0.5\textwidth]{rot_figures_left/simulation/transport/nin/tau2_bulk_si.eps}
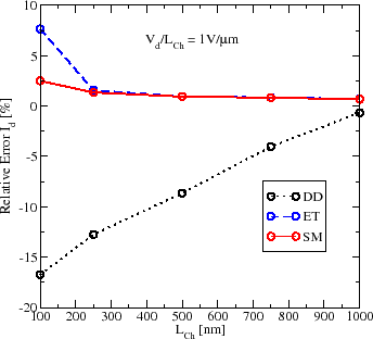
Figure 2.3: Bulk velocity of electrons as a function of the driving field  $ \ensuremath {E}_{\mathrm {abs}}$ for a doping of $ {\mathrm{10^{14}}}{\;}{\mathrm{cm^{-3}}}$ , $ {\mathrm{10^{16}}}{\;}{\mathrm{cm^{-3}}}$ , and $ {\mathrm{10^{18}}}{\;}{\mathrm{cm^{-3}}}$ . In the low field regime, the electron velocity for high dopings is lower than the velocity of the low dopings, while the value of the velocity converges for high fields.
\includegraphics[width=0.5\textwidth]{rot_figures_left/simulation/transport/nin/velocity_bulk_si.eps}

The carrier velocity as a function of the lateral field and for different  $ \ensuremath{N}_\mathrm{d}$ is demonstrated in Fig. 2.3. The saturation velocity of Si is reached at a driving field of  $ {\mathrm{150}}{\;}{\mathrm{kV/cm}}$ .

2.2 Device Studies

A study concerning the behavior of three-dimensional macroscopic transport models in long and short $ \mathrm {n}^+\mathrm {n}\mathrm {n}^+$ test structures is given and compared to SHE and MC simulations. Short channel effects as the velocity overshoot, impact ionization, and the influence of hot electrons on the carrier distribution function are discussed.

2.2.1 Long Channel Devices

First, a study on the behavior of higher-order transport models in long channel devices is performed. The aim is to find a calibration point, where all macroscopic transport models together with the spherical harmonics approach, which is the reference simulator here, yield the same result. Thus, $ \mathrm {n}^+\mathrm {n}\mathrm {n}^+$ structures with a channel length from  $ {\mathrm{1000}}{\;}{\mathrm{nm}}$ down to  $ {\mathrm{100}}{\;}{\mathrm{nm}}$ and with a doping profile of  $ {\mathrm{{10}^\mathrm{20}}}{\;}{\mathrm{cm^{-3}}}$ and  $ {\mathrm{\mathrm{10}^\mathrm{16}}}{\;}{\mathrm{\mathrm{cm}^{-3}}}$ have been investigated.

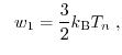
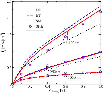
Fig. 2.4 shows the output currents of different $ \mathrm {n}^+\mathrm {n}\mathrm {n}^+$ structures for channel lengths of  $ {\mathrm{100}}{\;}{\mathrm{nm}}$ , $ {\mathrm{250}}{\;}{\mathrm{nm}}$ , and $ {\mathrm{1000}}{\;}{\mathrm{nm}}$ calculated with the DD, ET, SM and the SHE model.2.1 As can be observed for a channel length of  $ {\mathrm{1000}}{\;}{\mathrm{nm}}$ all models yield the same results with an error below $ {\mathrm{1}}{\;}{\mathrm{\%}}$ (see Fig. 2.5). While the error of the ET and SM model stays more or less constant below  $ {\mathrm{2.5}}{\;}{\mathrm{\%}}$ for a channel length down to $ {\mathrm{250}}{\;}{\mathrm{nm}}$ , the error of the DD model continuously increases and reaches a value of $ {\mathrm{-16}}{\;}{\mathrm{\%}}$ for a channel length of $ {\mathrm{100}}{\;}{\mathrm{nm}}$ . While the inaccuracy of the ET model starts to increase below $ {\mathrm{250}}{\;}{\mathrm{nm}}$ , the SM model gives still results very close to SHE simulations. Therefore, simulating short channel devices with the DD model gives only poor results. However, for devices with a channel length of  $ {\mathrm{1}}{\;}{\mathrm{\mu m}}$ , the DD, ET, SM, and the SHE model predict the same current value with an error of below  $ {\mathrm{1}}{\;}{\mathrm{\%}}$ . Hence, the calibration point is the  $ {\mathrm{1000}}{\;}{\mathrm{nm}}$ channel device.

Figure 2.4: Output currents for different  $ \mathrm {n}^+\mathrm {n}\mathrm {n}^+$ structures calculated with DD, ET, and SM models. As a reference, SHE simulations are used. For $ {\mathrm{1000}}{\;}{\mathrm{nm}}$ , all models predict the same current, while the DD model underestimates the current for a channel length of $ {\mathrm{100}}{\;}{\mathrm{nm}}.$
\includegraphics[width=0.5\textwidth]{rot_figures_left/simulation/transport/nin/current_long.eps}
Figure 2.5: Relative error of the current calculated with the DD, ET, and the SM model as a function of the channel length. A voltage of $ \mathrm {1 V}$ has been applied. While the ET and SM model is below $ \mathrm {7.5 \%,}$ the DD model approaches to $ \mathrm {16 \%}$ at a channel length of $ \mathrm {100 nm}$ .
\includegraphics[width=0.5\textwidth]{rot_figures_left/simulation/transport/nin/relativ_error_longch.eps}


2.2.2 Short Channel Effects

Since the channel length is reduced to increase the operation speed and the number of components per chip, the so called short-channel effect arise [133]. The first short channel effect described here is the velocity overshoot.

2.2.2.1 Velocity Overshoot

The velocity overshoot in short channel devices has been the object of many investigations [134,135,136,137,138]. The carrier velocity in most devices operating near room temperature and under modest bias condition is always limited by scattering. Carriers cannot go beyond a certain velocity. The maximum velocity observed in bulk silicon measurements is the saturation velocity  $ \ensuremath {v_\mathrm {sat}}$ . The value of $ \ensuremath {v_\mathrm {sat}}$ is $ {\mathrm{10^7}}{\;}{\mathrm{cm/s}}$  [139]. However, as demonstrated in Fig. 2.6 for short channel devices the situation is different.
Figure 2.6: Velocity profiles of a  $ \mathrm {50 nm}$ , $ \mathrm {100 nm}$ , and $ \mathrm{200 nm}$ long  $ \mathrm {n}^+\mathrm {n}\mathrm {n}^+$ structure calculated with the MC method are presented after [4]. The velocity overshoot at the beginning of the lowly doped n-region is clearly visible.
\includegraphics[width=0.5\textwidth]{rot_figures_left/simulation/transport/nin/overshoot.eps}
As the channel length decreases, the electric field inside the device increases as well. Thus, the carriers will be accelerated without colliding with the lattice ( $ \ensuremath{T_\ensuremath{n}}=\ensuremath{T_{\mathrm{L}}}$ ) for at least a few pico seconds. Therefore, the random component of the carrier velocity induced by scattering events is small, which leads to a maximum drift velocity in the range of  $ {\mathrm{10^7}}{\;}{\mathrm{cm/s}}$ to $ {\mathrm{10^8}}{\;}{\mathrm{cm/s}}$  [140]. This is known as the velocity overshoot.

2.2.2.2 Hot Electrons

Hot electrons can enter the oxide, where they can be trapped, giving rise to oxide charging and can accumulate with time and degrade the device performance by increasing the threshold voltage and adversely affect the gate control on the drain current [133].
Therefore, an analytical expression within high fields for the carrier temperature  $ \ensuremath {T_\ensuremath {n}}$ in a homogeneous and stationary bulk Si system is derived. Here, all spatial gradients in the transport models can be neglected. Hence, the energy balance equation (1.108) can be formulated as

$\displaystyle -\ensuremath{\mathrm{s}_{\alpha}}\mathrm{q}\ensuremath{n}\ensurem...
...h{\ensuremath{w}}_{\mathrm{10}}}}{\ensuremath{\tau_\mathrm{1}}}=\mathrm{0}{\;}.$ (2.1)

With

$\displaystyle \ensuremath{\ensuremath{\ensuremath{w}}_{\mathrm{10}}}=\frac{3}{2}k_\ensuremath{\mathrm{B}}\ensuremath{T_{\mathrm{L}}}  $and $\displaystyle  \ensuremath{\ensuremath{\ensuremath{w}}_{\mathrm{1}}}=\frac{3}{2}k_\ensuremath{\mathrm{B}}\ensuremath{T_\ensuremath{n}}{\;},$ (2.2)

$ \ensuremath {T_\ensuremath {n}}$ can be written as [4]

$\displaystyle \ensuremath{T_\ensuremath{n}}=\ensuremath{T_{\mathrm{L}}}+\frac{2...
...ath{\ensuremath{\mu}_{\mathrm{0}}}\ensuremath{\ensuremath{\mathitbf{E}}}^2{\;}.$ (2.3)

Note that only the drift term of the current

$\displaystyle \ensuremath{n}\ensuremath{\ensuremath{\mathitbf{V_\mathrm{0}}}}=\...
...ensuremath{\ensuremath{\mu}_{\mathrm{0}}}\ensuremath{\ensuremath{\mathitbf{E}}}$ (2.4)

has been inserted into the homogeneous energy balance equation. As has been pointed out, $ \ensuremath {T_\ensuremath {n}}$ is roughly proportional to the square of the electric field. In a certain high field regime, where optical phonons can be neglected, the energy relaxation time  $ \ensuremath {\tau _\mathrm {1}}$ is more or less constant (see Fig. 2.2). Note that optical phonon scattering is an inelastical process, which changes the energy relaxation time. In this special high field regime, $ \ensuremath {\ensuremath {\mu }_{\mathrm {0}}}$ can be written as [140]

$\displaystyle \ensuremath{\ensuremath{\mu}_{\mathrm{0}}}=\frac{\ensuremath{v_\mathrm{sat}}}{\ensuremath{E}}{\;},$ (2.5)

and the temperature expression (2.3) can be described in terms of the saturation velocity  $ \ensuremath {v_\mathrm {sat}}$ as

$\displaystyle \ensuremath{T_\ensuremath{n}}=\ensuremath{T_{\mathrm{L}}}+\ensure...
...m{q}}{3k_\ensuremath{\mathrm{B}}}\ensuremath{v_\mathrm{sat}}\ensuremath{E}{\;}.$ (2.6)

For electrons within the saturation velocity regime,  $ T_\ensuremath{n}$ is a linear function of the electric field. In Fig. 2.7, the bulk carrier temperature as a function of the electric field calculated with the bulk fullband MC method is presented. In order to consider the whole band structure of Si fullband MC has been taken into account instead of the analytical SHE method. As pointed out, the quadratic dependence of the carrier temperature from the electric field is a good approximation for fields lower than  $ {\mathrm{200}}{\;}{\mathrm{kV/cm}}$ , while for higher fields up to  $ {\mathrm{450}}{\;}{\mathrm{kV/cm}}$ the linear approximation  % latex2html id marker 39607
$ (\ref{e:temperature_hot_linear})$ can be used. However, for driving fields above  $ {\mathrm{450}}{\;}{\mathrm{kV/cm}}$ the linear approximation breaks down due to optical phonon scattering, which changes  $ \ensuremath {\tau _\mathrm {1}}$ . Thus, the assumption that the energy relaxation time is constant is not valid anymore.
Figure 2.7: Carrier temperature  $ \ensuremath {T_\ensuremath {n}}$ as a function of the driving field in a homogeneous bulk simulation carried out with fullband MC. For lower fields, the carrier temperature is a function of  $ \ensuremath {E}^2$ , while for high fields, the temperature is a linear function of the driving field.
\includegraphics[width=0.5\textwidth]{rot_figures_left/simulation/transport/MCdata/bulk/temp_approx_good.eps}

2.2.2.3 Hot and Cold Electrons

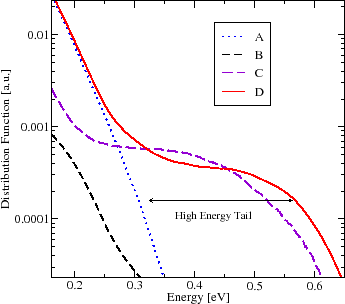
Carrier energy has got a deep impact on the distribution function. The so called high-energy tail at the beginning of the drain region, which is an expression of the coexistence of a hot electron
Figure 2.8: Evolution of the distribution function inside an $ \mathrm {n}^+\mathrm {n}\mathrm {n}^+$ structure. The mixture of hot and cold electrons is expressed by the high-energy tail of the carrier distribution function.
\includegraphics[width=0.5\textwidth]{figures/svg/nnn.eps} \includegraphics[width=0.5\textwidth]{rot_figures_left/simulation/transport/MCdata/distr_nnn/40nm/distribution_40nm.eps}

population coming from the channel and the cold electron population from the drain region, is presented in Fig. 2.8. Here, the evolution of the distribution function through a $ \mathrm {n}^+\mathrm {n}\mathrm {n}^+$ structure with a channel length of  $ {\mathrm{40}}{\;}{\mathrm{nm}}$ and a doping profile of  $ {\mathrm{10^{20}}}{\;}{\mathrm{cm^{-3}}}$ and  $ {\mathrm{10^{16}}}{\;}{\mathrm{cm^{-3}}}$ is demonstrated. An electric field of  $ {\mathrm{50}}{\;}{\mathrm{kV/cm}}$ in the middle of the channel has been assumed. The distribution function is calculated with the MC method. At point A a Maxwellian can be assumed as the carrier distribution function, while at point B the heated Maxwellian overestimates the carrier distribution function. In point D the high-energy tail occurs.

In [141], an analytical distribution function model has been developed, which goes beyond the assumption of a Maxwellian shape. The symmetric part of the distribution function is based on a mixture of a cold and a hot Maxwellian and can be expressed as [141]

$\displaystyle \ensuremath{f_\mathrm{s}}\left(\ensuremath{\mathcal{E}}\right)=\m...
...th{c}\ensuremath{f_\mathrm{c}}\left(\ensuremath{\mathcal{E}}\right)\right){\;}.$ (2.7)

The five parameters  $ \ensuremath{A}$ $ \ensuremath{a}$ $ \ensuremath{b}$ $ \ensuremath {c}$ , and  $ \ensuremath{a_\mathrm{c}}$ , which describe the distribution function, must be determined and are calculated in that way that the distribution reproduces the first three even moments provided by the six moments model. Since the DD and the ET models exhibit only two and three equations, respectively, the SM model provides enough equations to calculate the five parameters. Of fundamental importance to this model is the kurtosis. The kurtosis gives the information to differentiate between the channel region and the drain region [141].

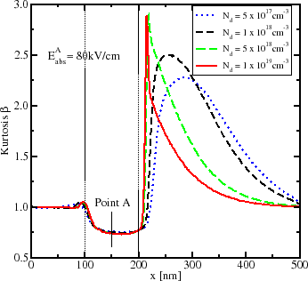
The kurtosis of an $ \mathrm {n}^+\mathrm {n}\mathrm {n}^+$ structure with a $ {\mathrm{100}}{\;}{\mathrm{nm}}$ channel for different source and drain dopings is visualized in Fig. 2.9. There, a channel doping of $ {\mathrm{10^{16}}}{\;}{\mathrm{cm^{-3}}}$ has been considered. As can be observed for low dopings, the maximum peak of the kurtosis is at $ {\mathrm{300}}{\;}{\mathrm{nm}}$ , compared to high dopings, where the maximum is at about $ {\mathrm{220}}{\;}{\mathrm{nm}}$ .

This can be explained as follows: Due to the higher concentration of cold electrons in the drain region of the high doped drain, the relaxation of hot carriers is faster than in the low doped drain region. Hence, the maximum peak of $ \ensuremath {\beta }$ in the high doping concentration case is $ {\mathrm{25}}{\;}{\mathrm{\%}}$ higher than for low doping concentrations.

Figure 2.9: Kurtosis calculated for different source and drain doping concentrations in an $ \mathrm {n}^+\mathrm {n}\mathrm {n}^+$ structure with a channel length of $ {\mathrm{100}}{\;}{\mathrm{nm}}$ . The maximum peak of the kurtosis for high doping concentrations is very high compared to the low doping case.
\includegraphics[width=0.5\textwidth]{rot_figures_left/simulation/transport/MCdata/Si/kurtosis_doping.eps}
In Fig. 2.10, the second-order temperature $ \ensuremath {\Theta }$ defined as

$\displaystyle \ensuremath{\Theta}= \ensuremath{\beta}\ensuremath{T_\ensuremath{n}}{\;},$ (2.8)

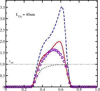
and the carrier temperature $ \ensuremath {T_\ensuremath {n}}$ for a short and a long channel devices are presented. For the long channel device, the hot distribution part of equation (2.7) can be neglected due to the small deviation of the second-order temperature  $ \ensuremath {\Theta }$ from  $ \ensuremath {T_\ensuremath {n}}$ . In short channel devices as the $ {\mathrm{60}}{\;}{\mathrm{nm}}$ device, an accurate modeling of the high-energy tail is very important as demonstrated in Fig. 2.11.

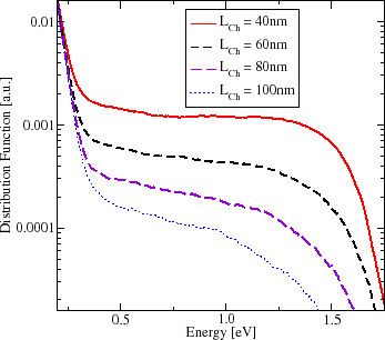
Here, carrier distribution functions of a  $ {\mathrm{40}}{\;}{\mathrm{nm}}$ , $ {\mathrm{60}}{\;}{\mathrm{nm}}$ , $ {\mathrm{80}}{\;}{\mathrm{nm}}$ , and $ {\mathrm{100}}{\;}{\mathrm{nm}}$ channel devices at point D of Fig. 2.8 are shown. The distribution functions are calculated with the MC method. As pointed out for increasing channel lengths the high-energy tail decreases.

Figure 2.10: Carrier temperature  $ \ensuremath {T_\ensuremath {n}}$ together with second-order temperature  $ \ensuremath {\Theta }$ for a  $ {\mathrm{1000}}{\;}{\mathrm{nm}}$ and a  $ {\mathrm{60}}{\;}{\mathrm{nm}}$ device. A field of  $ {\mathrm{50}}{\;}{\mathrm{kV/cm}}$ has been assumed. While in the long channel device a Maxwellian can be used, the high-energy tail in the short channel device in the drain region increases.
\includegraphics[width=0.5\textwidth]{rot_figures_left/simulation/transport/nin/kur_temp.eps}
Figure 2.11: Distribution function at point D of Fig. 2.8 for $ \mathrm {40 nm}$ , $ \mathrm {60 nm}$ , $ \mathrm {80 nm}$ , and $ \mathrm {100 nm}$ channel devices. As can be observed, the high-energy tail for increasing channel lengths decrease.
\includegraphics[width=0.5\textwidth]{rot_figures_left/simulation/transport/MCdata/monju/distribution_high.eps}
Figure 2.12: Kurtosis  $ \ensuremath {\beta }$ and the carrier temperature for electric fields of $ {\mathrm{5}}{\;}{\mathrm{kV/cm}}$ , $ {\mathrm{20}}{\;}{\mathrm{kV/cm}}$ , and $ {\mathrm{50}}{\;}{\mathrm{kV/cm}}$ through a  $ {\mathrm{100}}{\;}{\mathrm{nm}}$ channel $ \mathrm {n}^+\mathrm {n}\mathrm {n}^+$ device (the value of the fields in the upper left part is calculated at point A). For high fields, the kurtosis increases at the beginning of the drain region, which means that the high-energy tail of the distribution function is becoming very important. In the right upper part, the carrier temperature profile for different electric fields is shown. The kurtosis exceeds unity, while the carrier temperature drops down. The velocity profile for fields of $ {\mathrm{5}}{\;}{\mathrm{kV/cm}}$ and $ {\mathrm{50}}{\;}{\mathrm{kV/cm}}$ is shown on the lower part. For low fields, all models yield the same velocity profiles, which is an indication that the heated Maxwellian can be used. For high fields, a significant deviation of the velocity profiles can be observed.
\includegraphics[width=0.5\textwidth]{rot_figures_left/simulation/transport/nin/kurtosis_difffield.eps} \includegraphics[width=0.5\textwidth]{rot_figures_left/simulation/transport/nin/temp_carrier.eps} \includegraphics[width=0.5\textwidth]{rot_figures_left/simulation/transport/nin/velocity_50kV_5kV.eps}
Also high fields have got a strong influence on the kurtosis as shown in Fig. 2.12. Here, the kurtosis for  $ {\mathrm{5}}{\;}{\mathrm{kV/cm}}$ , $ {\mathrm{20}}{\;}{\mathrm{kV/cm}}$ , and $ {\mathrm{50}}{\;}{\mathrm{kV/cm}}$ fields of a  $ {\mathrm{100}}{\;}{\mathrm{nm}}$ channel length structure is demonstrated in the upper left part of Fig. 2.12. The electric field has been calculated in the middle of the channel at point A. As can be seen for low fields as  $ {\mathrm{5}}{\;}{\mathrm{kV/cm}}$ , where the carrier temperature is low (see the upper right part) a heated $ \textsl{Maxwellian}$ can be used, while for $ {\mathrm{20}}{\;}{\mathrm{kV/cm}}$ an increase of the kurtosis at the beginning of the drain region is visible. A significant increase of the kurtosis can be observed for high fields.
The kurtosis starts to rise, when the maximum of the carrier temperature decreases to the equilibrium value. This is the region, where the hot electrons from the channel meet the large pool of cold electrons in the drain region. The distribution function has also a strong impact on the carrier velocity as pointed out in the lower part of Fig. 2.12. The ET transport model yields the same velocity profile in the low field regime as the SM model, which is also an indication that a Maxwellian is a good approximation within low fields. However, for high fields, the ET overestimates the velocity profile of the DD and the SM model, and has got a maximum at the end of the channel. A second velocity overshoot in the ET and in the SM model can be observed, which will be discussed in the next section.


2.2.2.4 Impact Ionization

Impact ionization especially occurs in n-channel MOSFETs, due to the high velocity of the electrons and high lateral fields. The electrons collide with Si atoms and generate electron hole pairs. Hence, the probability of impact ionization for electrons in a strong field is determined by the probability that the electrons will acquire the ionization energy of the atoms from the field [142]. The process of increasing energies of the electrons depends on two factors: Acceleration in the field and energy dissipation with phonons. Thus, electrons can gain energy from the field without experiencing a single collision, or the second possibility of receiving the same energy is that the electrons achieve energy after many collisions, in that way that in each collision the electron loses less energy than it receives from the field during the time between two collisions.

Figure 2.13: The impact ionization rate is calculated with MC, the DD, ET, and the SM model for a  $ \mathrm {200 nm}$ and a $ \mathrm {50 nm}$ structure. Due to the better modeling of the distribution function in the SM model, the results are closer to the MC data than the DD and the ET model (after [5]).
\includegraphics[width=0.5\textwidth]{rot_figures_left/simulation/transport/ii/Impact_II_200.eps} \includegraphics[width=0.5\textwidth]{rot_figures_left/simulation/transport/ii/Impact_II_50.eps}

Fig. 2.13 shows impact ionization rates of a $ {\mathrm{200}}{\;}{\mathrm{nm}}$ and a $ {\mathrm{50}}{\;}{\mathrm{nm}}$ channel device calculated with the DD, ET, SM model and the MC method. As can be observed, the impact ionization rate predicted by the SM model is closer to MC data than the ET and the DD model due to the better modeling of the distribution function in the SM model, as explained in the following section.

2.2.3 Application of Higher-Order Models on Deca-Nanometer Devices

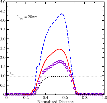
Higher-order transport models such as the SM model can cover non-local effects due to the improved modeling of the distribution function. This is very important for deca-nanometer devices, where short channel effects have a strong influence on carrier transport properties. The channel length range of deca-nanometer devices is defined in this work from  $ {\mathrm{100}}{\;}{\mathrm{nm}}$ down to  $ {\mathrm{20}}{\;}{\mathrm{nm}}$ . However, beside the advantages of higher-order transport models concerning the description of the explained effects, the models also predict a velocity overshoot, when the electric field decreases rapidly. This is the case for instance at the end of the channel of a MOSFET. Since the velocity overshoot at the end of the channel is not observed by MC simulations, the effect is known as the spurious velocity overshoot (SVO) [143,144,145]. In [6] it was demonstrated that the reason for the SVO is due to the closure relation and to the modeling of the transport parameters. For higher-order transport models, the error in the SVO decreases. This is shown in Fig. 2.14.

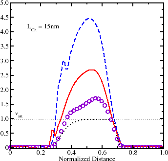
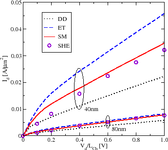
Here, the evolution of the velocity profile within several  $ \mathrm {n}^+\mathrm {n}\mathrm {n}^+$ structures calculated with the DD, ET, SM, and the SHE as a reference, is presented. An electric field of  $ {\mathrm{50}}{\;}{\mathrm{kV/cm}}$ in the middle of the channel of each device has been assumed. For long channel devices, all models yield more or less the same velocity profile, while for decreasing channel lengths, the SVO in the ET model and the reduced one in the six moments model are clearly visible. The velocity of the ET model increases very fast for decreasing channel lengths and is four times as high as the results obtained from SHE simulations at  $ \ensuremath{L_\mathrm{Ch}}={\mathrm{15}}{\;}{\mathrm{nm}}$ . On the other hand, the DD model does not predict any velocity overshoot and stays always under the saturation velocity  $ \ensuremath {v_\mathrm {sat}}$ of the bulk. The SM model predicts a velocity profile closer to the SHE data than the DD and the ET model, due to the advanced description of the high-energy part of the distribution function, following that the closure relation of the SM model is improved compared to the ET model. One of the consequences is that the SVO is reduced in the SM model. Therefore, with a better description of the closure relation and the transport parameters, the SVO would disappear as demonstrated in Fig. 2.15. Here, the velocity profile of the ET model is presented, considering closure relations and relaxation times based on MC simulations. As can be observed, the SVO in the ET model disappears, which justifies the above mentioned assumption. The better modeling of device characteristics within higher-order moments is also reflected in the currents, which is pointed out in Fig. 2.16. Here, the output characteristics of a  $ {\mathrm{40}}{\;}{\mathrm{nm}}$ and  $ {\mathrm{80}}{\;}{\mathrm{nm}}$ channel length $ \mathrm {n}^+\mathrm {n}\mathrm {n}^+$ structure calculated with the DD, ET, SM, and the reference SHE model are shown. While the relative error of the current calculated with the SM and the ET model stays more or less constant in long channel devices (see Fig. 2.5), there is a significant deviation of this pattern in the error in short channel devices.

Figure 2.14: Evolution of the carrier velocity profiles for decreasing channel lengths calculated with the DD, ET, and the SM model. The velocities are compared to the results obtained from SHE simulations. While the maximum velocity of the DD model is the saturation velocity  $ \ensuremath {v_\mathrm {sat}}$ , the spurious velocity overshoot at the end of the channel in the ET and the SM model is clearly visible. The velocity overshoot at the beginning of the channel can be quantitatively identified at the  $ {\mathrm{100}}{\;}{\mathrm{nm}}$ device in the ET and the SM model.
\includegraphics[width=0.5\textwidth]{rot_figures_left/simulation/transport/nin/velocity_1000.eps} \includegraphics[width=0.5\textwidth]{rot_figures_left/simulation/transport/nin/velocity_500.eps} \includegraphics[width=0.5\textwidth]{rot_figures_left/simulation/transport/nin/velocity_250.eps} \includegraphics[width=0.5\textwidth]{rot_figures_left/simulation/transport/nin/velocity_100.eps} \includegraphics[width=0.5\textwidth]{rot_figures_left/simulation/transport/nin/velocity_80.eps} \includegraphics[width=0.5\textwidth]{rot_figures_left/simulation/transport/nin/velocity_40.eps} \includegraphics[width=0.5\textwidth]{rot_figures_left/simulation/transport/nin/velocity_30.eps} \includegraphics[width=0.5\textwidth]{rot_figures_left/simulation/transport/nin/velocity_20.eps} \includegraphics[width=0.5\textwidth]{rot_figures_left/simulation/transport/nin/velocity_15.eps}
Figure 2.15: Velocity profile calculated with ET model and MC data. Due to the MC closure in the ET model for the fourth order moment and due to the improved modeling of the transport parameters, the spurious velocity overshoot at the end of the channel disappears (after [6]).
\includegraphics[width=0.5\textwidth]{rot_figures_left/simulation/transport/nin/entransport_mc.eps}
Figure 2.16: Output currents of a  $ \mathrm {80 nm}$ and a  $ \mathrm {40 nm}$ channel length  $ \mathrm {n}^+\mathrm {n}\mathrm {n}^+$ structure calculated with the DD, ET, SM, and SHE model. The ET model overestimates the current at $ \mathrm {40 nm}$ , while the SM model yields the most accurate result.
\includegraphics[width=0.5\textwidth]{rot_figures_left/simulation/transport/nin/current_short.eps}
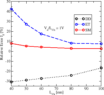
Figure 2.17: Relative error in the current of the DD, ET, and the SM model for an  $ \mathrm {n}^+\mathrm {n}\mathrm {n}^+$ structure in the channel range from  $ {\mathrm{100}}{\;}{\mathrm{nm}}$ down to  $ {\mathrm{40}}{\;}{\mathrm{nm}}$ . While the relative error of the SM model is below  $ {\mathrm{6}}{\;}{\mathrm{\%}}$ , the error of the DD and the ET model is at  $ {\mathrm{-30}}{\;}{\mathrm{\%}}$ and  $ {\mathrm{40}}{\;}{\mathrm{\%}}$ for a channel length of  $ {\mathrm{40}}{\;}{\mathrm{nm}}$ , respectively.
\includegraphics[width=0.5\textwidth]{rot_figures_left/simulation/transport/nin/relative_error_short.eps}
In the short channel range from  $ {\mathrm{40}}{\;}{\mathrm{nm}}$ to $ {\mathrm{100}}{\;}{\mathrm{nm}}$ the current calculated with the SM model is below an error of $ {\mathrm{10}}{\;}{\mathrm{\%}}$ , while the errors of the DD and the ET model are at  $ {\mathrm{-30}}{\;}{\mathrm{\%}}$ and  $ {\mathrm{40}}{\;}{\mathrm{\%}}$ for a channel length of $ {\mathrm{40}}{\;}{\mathrm{nm}}$ , respectively (see Fig. 2.17).

As has been pointed out, the ET model is accurate down to a channel length of $ {\mathrm{80}}{\;}{\mathrm{nm}}$ , while a strong increase of the current error can be observed below $ {\mathrm{80}}{\;}{\mathrm{nm}}$ . Therefore, the ET model is a suitable transport model for devices down to $ {\mathrm{80}}{\;}{\mathrm{nm}}$ channel lengths only. However, with channel length below $ {\mathrm{80}}{\;}{\mathrm{nm}}$ the SM model is the model of choice. The strength of the six moments model is that the model gives more informations about the distribution function than the ET model.



Footnotes

... model.2.1
Thanks to Prof. Jungemann for providing his SHE simulator

next up previous contents
Next: 3. Homogeneous Transport in Up: Dissertation Martin-Thomas Vasicek Previous: 1. Theory of Transport

M. Vasicek: Advanced Macroscopic Transport Models