Next: 3.4 Miller Index Notation
Up: 3. Strain and Semiconductor
Previous: 3.2 Stress
Within the elastic limit of a material Hooke's law is a good approximation for relating stress and strain
The generalization of Hook's law for three-dimensional elastic bodies leads to
 |
(3.10) |
The elastic stiffness tensor
is of fourth order and contains
(
) elements. Introducing additional symmetry considerations, the number of needed components can be reduced [162]. Cubic semiconductors like
,
or
are characterized by only three constants (
).
 |
(3.11) |
If the strain, instead of stress, is the quantity of interest, it can be calculated by inversion of the elastic stiffness tensor (3.10)
 |
(3.12) |
or in matrix form
 |
(3.13) |
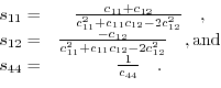
The stiffness constants are normally denoted as
, while the compliance constants are named as
. The compliance constants can be calculated from the stiffness constants with the following relations:
 |
(3.14) |
Next: 3.4 Miller Index Notation
Up: 3. Strain and Semiconductor
Previous: 3.2 Stress
T. Windbacher: Engineering Gate Stacks for Field-Effect Transistors