next up previous contents
Next: 4.2 Effective Mass of Up: 4.1 Unprimed Subbands Previous: 4.1.2 Small Strain Values

4.1.3 High Values of $ \zeta $

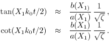
For high strain values the dispersion relations (4.4) of the lowest conduction band become parabolic again (shown in Fig. 4.2) and the quantization levels in a square well potential with a parabolic band must be recovered in this limit. We note that in the limit $ \delta \gg E_{0}$ $ X_{2}=2\sqrt{-\zeta}$ and equations (4.13) take the form [181]:

\begin{displaymath}\begin{array}{ccc} \tan(X_{1} k_{0} t/2) &\approx&\displaysty...
...c{b(X_{1})}{a(X_{1})}\, \frac{1}{\sqrt{\zeta}}}\, . \end{array}\end{displaymath} (4.24)

For large $ \zeta $ (4.24a) has the solution $ X_{1}=\pi (2n-1)/k_{0}t$, while (4.24b) gives $ X_{1}=2\pi n/k_{0}t$, which results in the well-known quantization result $ X_{1}=\pi n/k_{0}t, n=1,2,3,\cdots$ for subbands in an infinite potential square well with a single parabolic band. For the difference in energy $ \Delta E_{n}$ between the two subbands we get $ \Delta E_{n}=E_{1} (4n-1)$ in the limit of large $ \zeta $, which is perfectly consistent with the results shown in Fig. 4.6 and Fig. 4.7.

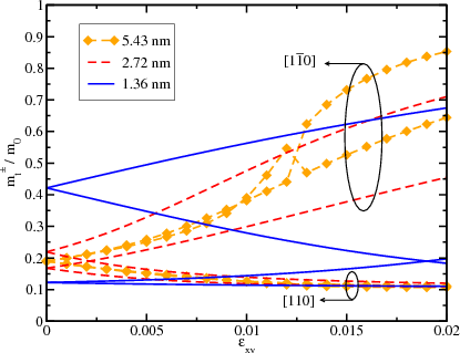
Figure 4.8: Splitting induced by shear strain for several film thicknesses. As can be seen for ultra-thin films the splitting is already larger than $ k_{\text {B}} T$ for moderate stress levels.
\includegraphics[width=0.7\textwidth]{figures/splitting.ps}

Fig. 4.8 shows for several film thicknesses that the unprimed subbands split for non-zero shear strain. In ultra-thin films already at moderate stress levels the splitting energy is larger than $ k_{\text {B}} T$. In this case the higher subband becomes de-populated, indicating a mobility enhancement in $ \left(001\right)$ ultra-thin films strained along $ \left[110\right]$ direction. For small strain values the splitting is linear in strain. For large strain the quantization relations in an infinite square well potential with a single parabolic band are recovered resulting in the largest subband splitting. Uniaxial stress is currently used to enhance performance of modern MOSFETs, where it is introduced in a controllable way. Therefore, the valley splitting can be controlled by adjusting strain and thickness $ t$.

Figure 4.9: Ultra-thin films exhibit different effective masses for the two ground subbands even without stress. The thinner the film the more pronunced is the difference in effective masses.
\includegraphics[width=0.7\textwidth]{figures/emunprimed.ps}


next up previous contents
Next: 4.2 Effective Mass of Up: 4.1 Unprimed Subbands Previous: 4.1.2 Small Strain Values

T. Windbacher: Engineering Gate Stacks for Field-Effect Transistors