next up previous contents
Next: 4.3 Primed Subbands Up: 4. Quantum Confinement and Previous: 4.1.3 High Values of

4.2 Effective Mass of Unprimed Subbands

Fig. 4.9 shows that the effective masses along $ \left[110\right]$ and $ \left[ 1\bar{1}0\right]$ become different for decreasing film thickness. The dependence of the effective masses of the two ground subbands without strain on film thickness is shown in Fig. 4.10. However, due to symmetry restrictions their subband energy dispersion relations are not parabolic as demonstrated in Fig. 4.11. For a given $ k_{x}$ and $ k_{y}$ there is a subband with a lower energy in the form of the unification of two equi-energy ellipses with the effective masses $ m_{1}$ and $ m_{2}$ and a subband which is higher in energy given by the intersection of the same ellipses. The difference between the bulk description and the numerically obtained thickness dependent result is caused by the growing value of the right-hand side in (4.22), which cannot be neglected for thin films. The coupling between the two conduction bands in (4.1) is described via the right-hand side of (4.22) and therefore of great importance for thin films. The two bands exhibit minima at $ k_{z}=\pm k_{0}$ with respect to the corresponding $ X$-point. One can think of the coupling between the bands as interaction between the valleys. This interaction is caused by the term $ \zeta\neq0$ and is also responsible for the non-parabolicity of the bulk bands.

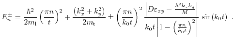
Substituting $ y_{n}^{0}=q_{n}=\frac{\pi n}{k_{0} t}$ 4.1 into (4.22) and solving for small strain $ \zeta $ the dispersion relation for the unprimed subbands n can be obtained:

$\displaystyle E_{n}^{\pm}=\frac{\hbar^{2}}{2m_{\text{l}}}\left(\frac{\pi n}{t}\...
... 1-\left(\frac{\pi n}{k_{0} t}\right)^{2}\right\vert}\, \sin (k_{0} t)\enspace.$ (4.25)

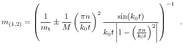
(4.25) illustrates that the subband degeneracy is preserved only in the absence of shear strain and either $ k_{x}=0$ or $ k_{y}=0$. (4.25) shows that the unprimed subbands for thin films are not equivalent, even without shear strain. Deriving the expression for the effective masses from (4.25) also reveals two independent effective masses in $ \left[110\right]$ direction for the unprimed subbands with the same quantum number n without strain:

$\displaystyle m_{(1,2)}=\left(\frac{1}{m_{\text{t}}}\pm\frac{1}{M}\left(\frac{\...
...\vert 1-\left(\frac{\pi n}{k_{0} t}\right)^{2}\right\vert}\right)^{-1}\enspace.$ (4.26)

This behavior is in agreement with the numerically found effective masses for the two ground subbands in relaxed thin films shown in Fig. 4.10.

Figure 4.10: The dependence of the effective masses on the film thickness for the lowest two subbands.
\includegraphics[width=0.7\textwidth]{figures/emunprimednoeps.ps}
Figure 4.11: The two ground subbands as contour plots.
\includegraphics[width=0.7\textwidth]{figures/ddcp.ps}



Footnotes

... 4.1
for small $ \zeta $ the right-hand side can be of (4.22) ignored and $ y_{n}^{0}$ be found

next up previous contents
Next: 4.3 Primed Subbands Up: 4. Quantum Confinement and Previous: 4.1.3 High Values of

T. Windbacher: Engineering Gate Stacks for Field-Effect Transistors