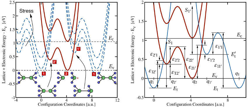
In the eNMP model, the defects are described by the form of their adiabatic potentials. Motivated by TDDS and EPR experiments [53, 185, 42], they are assumed to feature one stable and one metastable configuration. This bistability is reflected in the double well form of their adiabatic potentials (see Fig. 7.2). Note that it is the key aspect of the eNMP model since it can give an explanation for a plenty of challenging experimental observations, addressed later in this chapter.
with
. The present configuration coordinate diagram
describes the exchange of holes with the valence band and thus is associated with
a hole capture or emission process. The stick-and-ball models display a defect in
its various stable and metastable configurations. A possible candidate for such a
bistable defect might be the well-known
center, which is frequently invoked
in the context of noise in MOSFETs. Right: Definitions of the used energies and
barriers in the eNMP model. Recall that two adiabatic potentials must be shown
for one transition. It is assumed that an alternative transition pathway with an
additional crossing point exists in the multi-dimensional atomic configuration
space. In order to show both intersections (related to
and
) in
one configuration coordinate diagram, the ‘neutral’ potential must be plotted
twice. Obviously,
and
hold.The configuration coordinate diagram of such a bistable defect is depicted in
Fig. 7.2. The numbers
and
denote the positive and neutral charge
state of the defect, respectively, and the metastable states are marked
by additional primes. In the configuration coordinate diagram, there
exist two crossing points, where each of them is related to one of the two
charge transfer reactions
and
. Their corresponding NMP
barriers1
and
are derived by evaluating equation (7.17) for the energy
differences


are expected to be within the same order of magnitude for all
charge transfer reactions and are thus set equal. The field dependence of the charge
transfer reactions
and
is governed by the relative position of the
‘neutral’ and the ‘positive’ adiabatic potential. When a negative bias is applied to the
gate of a pMOSFET (see Fig. 7.2), the ‘neutral’ potential is raised. As a result, the
barriers
and
are reduced, which facilitates the charge transfer reactions
and
, respectively. Conversely, the transitions
and
are
slowed down since the corresponding barrier heights
and
have become
larger. The transitions
and
are thermally activated and do not vary
with the applied gate bias. According to transition state theory, they can be
expressed as 
are defined as in Fig. 7.2 and
stands for the attempt
frequency, which is typically of the order
. Using
and
, the rates
and
can be rewritten as
The defect in the eNMP model has a state diagram as shown in Fig. 7.3. With the rates (7.36)-(7.47), the defect kinetics are described by
