7.3 Model Evaluation

The multitude of transition possibilities in the eNMP model results in quite complex defect kinetics, which allow to explain the defect behavior seen in TDDS. This is indeed important, since NBTI stress and relaxation processes are a superposition of several single trapping and detrapping events. Therefore, the degradation could in principle be reproduced by well-chosen distributions of model parameters. However, TDDS experiments give insight into the behavior of single defects and can therefore reveal whether a trapping model reflects the physics of a real defect.

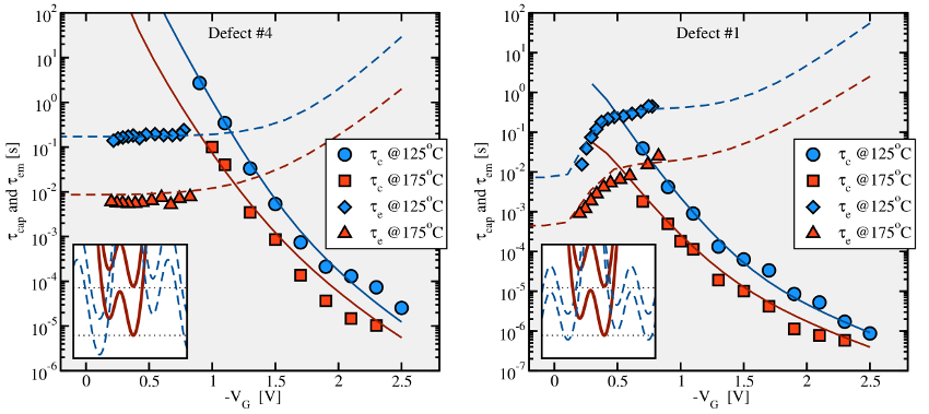
The time constant plots in Fig. 7.4 depict a fit of the eNMP model against TDDS measurement data. An evaluation of the checklist in Table 7.1 is given below:

The above checklist demonstrates that the eNMP model predicts the key features of the hole capture and emission process correctly, strongly indicating that the eNMP model can describe the physics of the defects seen in TDDS.


PIC

Figure 7.4: Left: The capture (solid lines) and emission (dashed lines) times of a ‘normal’ defect as a function of the gate bias. The symbols stand for the measurement data and the lines represent the simulation results of the eNMP model. The latter are shown to be in remarkable agreement with the experimental data. The inset (bottom left) depicts the adiabatic potential for the neutral (blue, dashed lines) and the positive (red, solid lines) charge state of the defect, when no bias is applied to the gate. Under these conditions the energy minima of the states 1′ and 2  differ by at least a few tenth of an electron Volt. This fact eventually characterizes this trap as a ‘normal’ defect. Right: The same but for an ‘anomalous’ defect as presented in the Section 1.3.4. Compared to the defect #4, the present defect (#1) shows a strong voltage/field dependence of τem  at low VG  or Fox  . In contrast to a ‘normal’ defect, the energy minima of the states 1′ and 2  coincide, which allows for the strong sensitivity of τem  to VG  .



PIC
Table 7.1: Checklist for a defect model (see Section 1.3.4). The McWhorter model, the Kirton model, as well as the TSM do not fulfill all criteria and thus do not describe the defects seen in TDDS experiments. By contrast, the eNMP reproduces the correct field and temperature dependence and gives an explanation for the ‘normal’ and ‘anomalous’ defects.