next up previous contents
Next: 1.6 Fiber Bundles and Up: 1. Mathematical Concepts Previous: 1.4 Computational Topology


1.5 Fiber Bundles

To handle complex sets of scientific data, various concepts are already available, e.g., the concept of fiber bundles [21]. This concept enables the separation of data structural components from the data storage mechanisms. A further step towards a data structure model was investigated [1] where a possible identification of the discretized base space by a CW-cell complex of the fiber bundle was introduced. This section formally introduces the concept of fiber bundles and gradually refines this concept to cover the concepts of a CW-complex and chains within a common theoretical framework. A possible separation of combinatorial data structure and traversal properties modeled by a CW-complex and data access attributes is also provided here. The first required concept is a projection map to deal with correlated spaces.

Definition 29 (Projection Map)   A projection map $ pr_1$ is a function that maps each element of a product space to the element of the first space:

$\displaystyle pr_1 : {\ensuremath{X}} \times {\ensuremath{Y}}$ $\displaystyle \longrightarrow {\ensuremath{X}}$        
$\displaystyle (x,y)$ $\displaystyle \longmapsto x$        

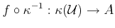
Definition 30 (Fiber Bundle)   A fiber bundle structure on a topological space $ E$ , with fiber $ F$ 1.3, consists of a map $ \pi:
E \rightarrow B$ such that each point of the topological space $ B$ has a neighborhood $ U_b$ for which there is a homeomorphism $ {\ensuremath{f}}: \pi^{-1}(U_b) \rightarrow U_b \times F$ making the following diagram commute.

\begin{figure}\begin{center}
\psset{xunit=0.6cm,yunit=0.6cm,nodesep=1pt,arrows=-...
...put{$\pi$}
\ncline[linewidth=0.1mm]{b}{c}\tbput{$pr_1$}
\end{center}\end{figure}


$ E$ is called the total space, $ B$ is called the base space, and $ F$ is called the fiber space. Commutativity of the diagram means that $ {\ensuremath{f}}$ carries each fiber $ F_b = \pi^{-1}(U_b)$ homeomorphically onto $ U_b \times F$ . Thus the fibers $ F_b$ are arranged locally as in the product $ U_b \times F$ , though not necessarily globally. An example related to the discussed homeomorphism is given in Figure 1.12.

Figure 1.12: Left: a fiber bundle with the homeomorphism $ f$ . Right: A homeomorphism into $ U_b \times F$ , which does not preserve the projection, thus not revealing a fiber bundle [1].
\begin{figure}\begin{center}
\small\psfrag{FiberSpace} [c]{Fiber space}\psfr...
...figures/fibration_existence.eps, width=0.85\textwidth}\end{center}\end{figure}

The concept of an $ n$ -dimensional CW-cell complex introduced in Section 1.3 can be seen as a hierarchical system of spaces $ X^{(-1)}\subseteq X^{(0)}
\subseteq X^{(1)} \subseteq \dots \subseteq X^{(n)}$ . This system of spaces can then be used to describe discrete base spaces by the identification of each $ X^{(p)}$ , with $ 0 \leq p \leq n$ , as a separate base space, with fibers that describe the relationship to the remaining $ X^{(q)}$ spaces with $ p!=q$ . The total space of a complete CW-complex is then modeled by intrinsic fiber bundles on the set of $ p$ -skeletons.

An important fiber bundle related to the transition from a local fiber bundle to a global:

Definition 31 (Trivial Bundle)   If a fiber bundle over a space $ B$ with fiber $ F$ can be written as $ B\times F$ globally, then it is called a trivial bundle $ (B\times F,B, pr_1)$ .

An important representative of a fiber bundle is a vector bundle, where operations from linear algebra can be utilized and the fiber space is fully described by its dimensionality, also called the multiplicity, as it defines the number of quantities per point. The original fiber bundle data model approach [21] was based on the concept of a vector bundle concept.

Definition 32 (Vector Bundle)   If the fiber of a bundle is a vector space and has the general linear group of that vector space as structure group, then it is called a vector bundle.

\begin{figure}\begin{center}
\small\psfrag{PictureZeroSection} [l]{Zero sectio...
...g{figure=figures/fibration_2.eps, width=0.4\textwidth}\end{center}\end{figure}
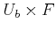
Figure 1.13: Zero section of a vector bundle [2].

Definition 33 (Section)   A map $ \sigma:B\rightarrow E$ is called a section of a fiber bundle $ (E,B,p:E\rightarrow B)$ if $ p\circ \sigma:B\rightarrow B = id$ .

The section concept for fiber bundles provides the necessary mechanisms to obtain an element of the fiber over every point in the base space $ B$ , e.g., the zero section consists of the zero vectors, depicted in Figure 1.13, where the fibers corresponding to the base space are also given. Generally, a vector field is a section of this type of bundle.

To render the final transition to the approximation of physical semantics by a discrete setting for a space $ {\ensuremath{X}}$ , as given in Section 1.3, the concept of a manifold is introduced. This enables a local as well as global abstraction from the Euclidean perspective, but maintains the identification of Euclidean structure locally. The already declared concepts are sufficient to establish these abstractions.

Definition 34 (Topological Manifold)   A Hausdorff space $ \mathfrak{H}$ is a topological manifold if it is locally (that means in a neighborhood for every element $ e \in
{\ensuremath{\mathfrak{H}}}$ ) homeomorphic to an open subset $ \mathcal{M}$ of $ {\ensuremath{\mathbb{R}}}^n$ , where $ n$ is the dimension of $ \mathfrak{H}$ . This implies that for a neighborhood $ \mathcal{U}$ around an element $ e \in
{\ensuremath{\mathfrak{H}}}$ a mapping of the form

$\displaystyle \kappa: {\ensuremath{\mathcal{U}}} \rightarrow {\ensuremath{\mathcal{M}}} \subseteq {\ensuremath{\mathbb{R}}}^n$ (1.42)

exists.

The neighborhood $ \mathcal{U}$ is called Euclidean. $ \kappa$ is called a chart and assigns a set of values from $ {\ensuremath{\mathbb{R}}}^n$ , commonly called coordinates, to the points in the neighborhood $ \mathcal{U}$ . This models the local Euclidean structure, where the elements $ e$ are usually called points.

In non-empty intersections of two neighborhoods $ {\ensuremath{\mathcal{U}}}_1,
{\ensuremath{\mathcal{U}}}_2 \subseteq {\ensuremath{\mathfrak{H}}}$ it is possible to define a transition from one chart to another in the following manner:

$\displaystyle \kappa_{1} \circ \kappa^{-1}_{2}: \kappa_{2}({\ensuremath{\mathca...
...rrow \kappa_{1}({\ensuremath{\mathcal{U}}}_1 \cap {\ensuremath{\mathcal{U}}}_2)$ (1.43)

This expresses the agreement of different charts in overlapping regions. A union of Euclidean neighborhoods that yields the topological space in combination with their respective charts is called an atlas. The specification of a Hausdorff space and an atlas characterizes a topological manifold.

To be able to construct more complex algebraic structures, which allow an appropriate modeling of physical fields, additional requirements are imposed on the purely topological manifold to arrive at a differentiable manifold.

Definition 35 (Differentiable Manifold)   A differentiable manifold $ \mathfrak{M}$ is obtained by demanding that the transition functions defined in Equation 1.43 be of differentiability class $ C^k$ 1.4.

To use the well known concepts of integration and properties of functions, such as continuity and differentiability, the concept of a pullback is introduced.

Definition 36 (Pullback)   Let $ f: {\ensuremath{\mathfrak{M}}} \rightarrow {\ensuremath{A}}$ be a map between a differentiable manifold $ {\ensuremath{\mathfrak{M}}}$ and a set $ {\ensuremath{A}}$ . By using a chart $ \kappa$ related to an element $ e \in {\ensuremath{\mathfrak{M}}}$ with $ {\ensuremath{\mathcal{U}}}$ , a pullback is given by:

$\displaystyle f \circ \kappa^{-1}: \kappa({\ensuremath{\mathcal{U}}}) \rightarrow {\ensuremath{A}}$ (1.44)

Thereby the properties of $ f \circ \kappa^{-1}$ in the open set $ {\ensuremath{\mathcal{U}}}$ can be translated to $ f$ related to the chart $ \kappa({\ensuremath{\mathcal{U}}})$ . Before this concept becomes useful, the concept of a space attached to an element of the manifold must be introduced. A step towards such an attached space is the introduction of an abstract mechanism guiding the coordinate axes.

A mapping $ \gamma$ of an interval $ [a,b] \rightarrow {\ensuremath{\mathfrak{M}}}$ describes a curve in the manifold $ {\ensuremath{\mathfrak{M}}}$ . A curve is called smooth if the composition $ \gamma_\kappa = \kappa^{-1} \circ \gamma:
[a,b] \rightarrow \mathbb{R}^n$ with an arbitrary chart $ \kappa$ is continuously differentiable with respect to at least one component of $ \mathbb{R}^n$ does not vanish.

Definition 37 (Tangent Vector)   A tangent vector is the differential of a smooth curve $ \gamma_\kappa$ .

Different charts lead to different representatives of the same tangent vector. This concept finally allows tangent spaces to be attached at each point.

Definition 38 (Tangent Space)   A tangent space $ {\ensuremath{\mathcal{T}}}_p({\ensuremath{\mathfrak{M}}})$ at a point $ p$ is defined as the union of tangent vectors in this point $ p$ . The thus defined tangent space $ {\ensuremath{\mathcal{T}}}_p({\ensuremath{\mathfrak{M}}})$ is a vector space of the same dimension as $ \mathfrak{M}$ :

$\displaystyle \mathrm{dim}  {\ensuremath{\mathcal{T}}}_p({\ensuremath{\mathfrak{M}}}) = \mathrm{dim}  {\ensuremath{\mathfrak{M}}}$ (1.45)

Finally a connection between a differentiable manifold and the attached tangent spaces, and fiber bundles can be established by the concept of a tangent bundle $ \mathcal{T}({\ensuremath{\mathfrak{M}}})$ , formally expressed in the following definition:

Definition 39 (Tangent Bundle)   The union of all tangent spaces $ {\ensuremath{\mathcal{T}}}_p({\ensuremath{\mathfrak{M}}})$ on a manifold $ {\ensuremath{\mathfrak{M}}}$ together with the manifold is called the tangent bundle $ \mathcal{T}({\ensuremath{\mathfrak{M}}})$ :

$\displaystyle \mathcal{T}({\ensuremath{\mathfrak{M}}}) := \{ (p,v) : p\in {\ens...
...athfrak{M}}}, v\in {\ensuremath{\mathcal{T}}}_p({\ensuremath{\mathfrak{M}}}) \}$ (1.46)

A fiber of a point $ p\in {\ensuremath{\mathfrak{M}}}$ is the tangent space $ {\ensuremath{\mathcal{T}}}_p({\ensuremath{\mathfrak{M}}})$ with a special dimensional restriction of the tangent space. The dimension of the bundle $ \mathcal{T}({\ensuremath{\mathfrak{M}}})$ is twice the dimension of the underlying manifold $ {\ensuremath{\mathfrak{M}}}$ ; its elements are points in addition to tangent vectors.

Where this given dimensional restriction of a bundle is a very specific specialization of the fiber bundle concept, several other identification can be obtained in a more general way by the amount of information that is available on the data in the fiber space (Figure 1.14). The fiber space of a fiber bundle has a certain dimension and thus an element has the same dimensionality at each point. If the dimensionality is unknown or may vary at each point, then the generalization of fiber bundles to a sheaf with stalks is modeled [57,58]. If more information for an object with fixed dimension is available, e.g., some linearity relationship, then a vector bundle is specified. In the special case of the same dimensionality of the fiber space and the base space, a tangent bundle is obtained, and so it is a special case of the vector bundle that is built directly from the derivatives.

\begin{figure}\begin{center}
\small\psfrag{constant type} [l]{constant dimensi...
...ure=figures/fiber_hierarchy.eps, width=0.25\textwidth}\end{center}\end{figure}
Figure 1.14: A hierarchy of concepts with partial specialization. The most general form is represented by a sheaf concept. The concept of fiber bundles is obtained by using fibers with a certain dimension. If the fiber space satisfies linear vector space properties, the concept of a vector bundle is derived. Finally, by confining the dimension of the base and fiber space, a tangent bundle is obtained.

A hierarchy for various abstractions to deal with scientific data is thereby available, but all are confined to one type of attached space. The following concepts now introduce spaces where additional attributes can be specified in a separate space. The basic properties of combinatorial elements and attached physical quantities are thereby possible. First, a non-degenerate mapping between two spaces is required.

Definition 40 (Scalar Product)   A scalar product is a non-degenerate bilinear mapping of two vector spaces into a field

$\displaystyle {\ensuremath{\varsigma}}: {\ensuremath{\mathcal{V}}} \times {\ensuremath{\mathcal{V}^*}} \rightarrow {\ensuremath{\mathbb{R}}}$ (1.47)

Non-degenerate means that $ {\ensuremath{\varsigma}}\neq 0$ for any fixed vector $ \mathbf{v}$ from one of the vector spaces, for all elements of the other vector space, except for the 0 element.

The scalar product is noted by $ \langle, \rangle$ and enables the concept of a dual vector space.

Definition 41 (Dual Vector Space)   A vector space $ \mathcal{V}^*$ is called dual if it is related to a vector space $ \mathcal{V}$ by a scalar product.

The elements of a dual vector space $ {\ensuremath{\mathcal{V}^*}}$ act as linear mappings1.5, or linear forms, on elements of $ {\ensuremath{\mathcal{V}}}$ . In the same fashion that the vector space $ \mathcal{V}$ has a dual vector space $ \mathcal{V}^*$ , the dual vector space is also associated with a dual vector space $ \mathcal{V^{**}}$ that again contains the linear forms on the elements of $ \mathcal{V}^*$ . These linear forms $ \ensuremath{\mathbf{v}}^{**} \in {\ensuremath{\mathcal{V^{**}}}}$ can be obtained by applying the scalar product $ {\ensuremath{\varsigma}}$ to the linear forms $ \alpha
\in {\ensuremath{\mathcal{V}^*}}$ for fixed $ \ensuremath{\mathbf{v}}_0 \in {\ensuremath{\mathcal{V}}}$

$\displaystyle \langle \ensuremath{\mathbf{v}}_0,\alpha \rangle = \ensuremath{\mathbf{v}}_0^{**}(\alpha)$ (1.48)

As the elements from $ \mathcal{V}$ now uniquely identify linear forms on $ \mathcal{V}^*$ by using only the structure of the scalar product that makes $ \mathcal{V}^*$ the dual of $ \mathcal{V}$ , the vector space $ \mathcal{V^{**}}$ can be identified with the original vector space $ \mathcal{V}$ . Accordingly a scalar product

$\displaystyle {\ensuremath{\varsigma}}^*: {\ensuremath{\mathcal{V}}} \times {\ensuremath{\mathcal{V}^*}} \rightarrow {\ensuremath{\mathbb{R}}}$ (1.49)

is defined that is connected to the initial scalar product by $ \langle
\alpha,\ensuremath{\mathbf{v}} \rangle_{*} = \langle \ensuremath{\mathbf{v}},\alpha \rangle$ . This structure facilitates the introduction of an additional space, the contangent space, as an extension to the concepts of a tangent space and tangent bundle.

Definition 42 (Cotangent Space)   The vector space structure of a tangent space $ {\ensuremath{\mathcal{T}}}_p$ along with a scalar product induces a dual vector space, the cotangent space $ {\ensuremath{\mathcal{T}}}_p^{*}$ .

Figure 1.15 graphically illustrates the correlation of the concepts, whereas the linear forms on $ {\ensuremath{\mathcal{T}}}_p$ are called covectors or 1-forms and are an important step to describe arbitrary abstract quantities. The linear forms on $ {\ensuremath{\mathcal{T}}}_p^{*}$ are called (contravariant) vectors or multivectors $ \ensuremath{\mathbf{v}}_p$ [59,36] and can be used to enable a discrete combinatorial setting of a manifold. An important step of this translation is the identification of the given subdomains $ {\ensuremath{\mathfrak{M}}}_p$ of the manifold by the concept of so-called multivectors [31,34].

\begin{figure}\begin{center}
\small\psfrag{T} [c]{${\ensuremath{\mathcal{T}}}_...
...igure=figures/fiber_tangent.eps, width=0.65\textwidth}\end{center}\end{figure}
Figure 1.15: Illustration of the correlation of tangent space and cotangent space.

As already mentioned, the basic approach to describe scientific data by the concept of fiber bundles started by using the vector bundle concepts, Figure 1.14. To model cospaces, e.g., a cotangent space, the dimensionality alone is not sufficient to describe a fiber space, but further requirements have to be met to identify covariant and contravariant elements, thus requiring more structure. By using vector bundles, e.g., a tangent vector cannot be distinguished from a normal vector. To address this lack of structure an extension of the original vector bundle approach was given [1] to provide the fiber bundle with additional semantic meta-information.



Footnotes

...1.3
The concept of a fiber, or preimage, is introduced in Appendix A
...1.4
The class $ C^k$ is composed by functions $ f$ which have continuous $ k$ -derivatives.
... mappings1.5
See Appendix A for a definition.

next up previous contents
Next: 1.6 Fiber Bundles and Up: 1. Mathematical Concepts Previous: 1.4 Computational Topology

R. Heinzl: Concepts for Scientific Computing