next up previous contents
Next: 7. Summary and Conclusions Up: Dissertation Gerhard Karlowatz Previous: 5. Results

Subsections



6. Simulation of Blocked Impurity Band Devices

6.1 Introduction

Blocked impurity band (BIB) photo detectors [Stetson86], invented by Petroff and Stapelbroek [Petroff86], are usually designed for the mid- to far-infrared range from 10 m to 1000 m wavelength. This wavelength range gained considerable importance in astronomy since the molecular and atomic emission lines from species like O, C or are within this range and far away objects are often hidden by interstellar dust clouds which absorb higher energy photons. On the other hand the atmosphere filters most of the infrared radiation and so exploring the infrared spectrum got an significant upturn with the realization of space based observation facilities such as the Spitzer Space Telescope where BIB detectors are applied in the form of detector arrays [Beeman07][Gehrz07].

BIB detectors deliver high quantum efficiency in a volume much smaller than in conventional photoconductors because of their much higher primary doping. Thus, BIB detectors are more resistant to the deleterious effects of radiation and offer a high signal to noise ratio. They offer also an extended wavelength response, which is caused by the formation of the impurity band and do not suffer from a transient response with memory like effects such as conventional photo detectors exhibit in the low temperature regime [Haegel03a]. Depending on the implementation BIB detectors can be set up for intensity measurement as well as photo multipliers with single phonon detection.

The schematic view of an n-type BIB detector is shown in Figure 6.1. It consists of a heavily - but not degenerately - doped layer of width with donor concentration so that the dopants form an impurity band in which carrier hopping occurs [Miller60]. This region is referred to as the infrared (IR)-active layer because an incoming photon can lift an electron from the impurity band to the conduction band. The IR-active layer is also partly compensated by a much weaker acceptor doping with concentration . Next to that layer comes an area of intrinsic Si of width where hopping conduction is strongly suppressed. It is referred to as the blocking layer.

The contacts consist of degenerately doped Si. The contact next to the blocking layer is illuminated and must be transparent in the infrared regime. Typically, a BIB detector is manufactured by starting from a degenerately doped Si substrate on which then the IR-active layer and the blocking layer are epitaxially grown.

Figure 6.1: Schematic of an n-type BIB device.
\includegraphics[scale=0.65, clip]{inkscape/device11.eps}

6.2 Operation of BIB Detectors

Figure 6.2: Energy band diagram of an n-type BIB device.
\includegraphics[scale=0.65, clip]{inkscape/band10.eps}
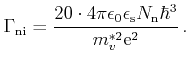
A BIB detector is usually operated at temperatures below 10K. This is necessary to suppress dark current originating from thermally generated carriers. As a second effect the acceptors in the IR-active region take their charge from the donors and get completely ionized,

(6.1)

The negative charges on the fixed sites are immobile. If a reverse bias is applied, the charges move away from the blocking layer interface due to the impurity band hopping mechanism. Since impurity band hopping is suppressed in the blocking layer no new carriers are delivered from there and a depletion region of width in the IR-active region is formed. In this case depletion refers to the charges. The remaining acceptor charges form a negative space charge region, while the electrons in the conduction band are collected at the transparent contact side after passing the blocking layer region.

Figure 6.2 depicts the energy band diagram for a BIB detector operating at reverse bias. The detection of a phonon takes place by generation of an electron hole pair. While the electron in the conduction band moves to the transparent contact, the hole can be interpreted as the charge of a donor moving to the other side by hopping conduction.

For an ideal BIB detector with no doping in the blocking layer a one dimensional Poisson equation can be formulated for the blocking and the depletion area, which gives the depletion width as [Szmulowicz87]

(6.2)

where is the applied bias, and is the static dielectric permittivity. For Si , where is the free space permittivity.

The electric field depends on the spatial coordinate

(6.3)

in the depletion region and

(6.4)

in the blocking layer. In the neutral region of the IR-active layer the field vanishes. The above formulae show that the maximum field occurs in the blocking layer. It depends on the depletion layer thickness and on the acceptor doping concentration , but is independent on the donor doping concentration .

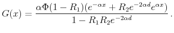
Another quantity of interest is the optical carrier generation rate . If the reflectivity of the transparent contact is and the reflectivity of the interface between the IR active layer and the substrate is , can be written as [Szmulowicz80] [Szmulowicz86]

(6.5)

Here, is the flux density of the incoming radiation and is the optical absorption coefficient which depends on the photon wave length .

In the depletion region the continuity equation for the electrons in the conduction band is

(6.6)

and for holes in the impurity band

(6.7)

Here, is the impact ionization coefficient, is the electron current density and the hole hopping current density. The total generation rate can be written as

(6.8)

where is the thermal generation rate. It is assumed that the ionizing collisions are independent from each other so that the probability of ionizing collisions per unit length can be meaningfully defined [McIntyre66]. Equations (6.6) and (6.7) are solved by multiplication by the integrating factors

(6.9)

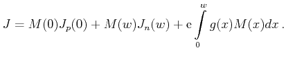
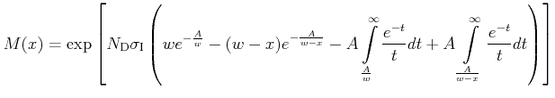
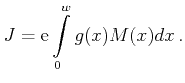
As a result the total current density is obtained for the steady state as [Szmulowicz87]

(6.10)

The current density in equation (6.10) can be interpreted as positive donor charges which are injected at . Because of the low mobility of these hopping carriers they undergo no multiplication, hence $ M(0)
= 1$ . On the other hand electrons injected at the right side at are multiplied due to the avalanche effect by after traveling the distance of the depletion region. Carriers generated in the depletion region by thermal or optical generation undergo a position dependent multiplication by which is taken into account by the last term on the right hand side of (6.10).

Equation (6.10) can be simplified if an ideal blocking layer is assumed, which prevents the injection of hopping carriers so that . Furthermore, it can be assumed that the current density which stems from diffusion of carriers from the heavily doped neutral part of the IR-active region is small enough to be neglected. This simplifies the equation for the total current density to

(6.11)

In a macroscopic formulation the impact ionization coefficient can be written as [Sze81] [Stillman77]

(6.12)

Here, is the majority dopant concentration, is the cross section for impact ionization and is the critical field for impact ionization. With (6.12) the integrating factor can be obtained as

$\displaystyle M(x)=\exp\left[N_{\mathrm{D}} \sigma_{\mathrm{I}} \left(we^{- \fr...
...e^{-t}}{t}dt + A \int_{\frac{A}{w-x}}^\infty \frac{e^{-t}}{t}dt \right) \right]$ (6.13)

with the parameter

(6.14)

The two integrals in (6.13) have to be solved numerically since there is no solution in closed form.

6.3 Hopping Conduction

Semiconductors exhibit intrinsic conductivity at sufficiently high temperatures due to thermal activation of carriers from the valence band to the conduction band. A wide band gap causes a rapid decrease of this kind of conduction at lower temperatures. Therefore shallow impurities become the most important provider for free carriers as their ionization energy is much lower than the bandgap. At low temperatures the thermal activation energy is so small that the carriers are recaptured by the impurities. This is a gradual process known as freeze-out.

At even lower temperatures the impurities are completely frozen out and hopping conduction is the prominent transport effect. In the case of no compensation hopping conduction can occur - if an n-type semiconductor is considered - when an electron is removed from a neutral donor site and moves to a neighbor neutral donor site, creating an overcharged impurity there [Nishimura65]. The conductivity caused by this thermally activated process is characterized by an activation energy

(6.15)

Here, as well as the activation energy depend on the average distance between the impurities.

In n-type BIB devices the donor concentration is slightly compensated by a frozen acceptor doping. The acceptors are ionized with carriers from the impurity band, leaving positively charged donor sites in the impurity band even at the lowest temperatures. Such a setup gives rise to another carrier hopping effect, where the electron of a neutral donor site is transfered to a positively charged neighbor donor site. This process is assisted by the absorption and emission of a phonon, lifting the electron to an excited intermediate state as illustrated in Figure 6.3 for a n-type device. The conductance can be described with another thermal activation energy  [Shklovskii84]

(6.16)

This nearest neighbor hopping process is the most important hopping mechanism within BIB devices, but at very low temperatures there is another hopping process, namely the so called variable-range hopping mechanism. When the thermal energy becomes very low the hopping carrier may not find a suitable energy state within the possible range at neighbor impurity sites. In this situation the carrier may be transfered to a more distant site despite of the small wavefunction overlap [Shklovskii84].

Figure 6.3: Nearest neighbor hopping illustrated in a n-type BIB device. The electron is transfered from a donor to a donor by the assistance of a phonon absorption and emission process.
\includegraphics[scale=0.75, clip]{inkscape_fig/hopping.eps}

6.4 Monte Carlo Simulation of BIB Detectors

A two step procedure is used to simulate the properties of BIB detectors. First the electrostatic field is calculated using a conventional TCAD device simulator. In this work MINIMOS-NT [IuE04] was used. This field is then fed to the Monte Carlo simulator where in a second step the Boltzmann equation is solved. The detector is modeled as a one-dimensional device.

The following sections show some features for Monte Carlo simulation at very low temperatures and present a concept for an alternative impact ionization model to capture a non-Markovian avalanche effect.

6.4.1 Neutral Impurity Scattering

Figure 6.4: Low field electron mobility versus lattice temperature for several neutral impurity concentrations in Si as a result of Monte Carlo simulation. Simulation data without impurity scattering is taken from [Canali75].
\includegraphics[width=3.6in]{xmgrace-files/Neutral.eps}

At very low temperatures neutral impurity scattering can significantly contribute to the total scattering rate. In literature several attempts exists to describe neutral impurity scattering [Sclar56][Kwong90][Itoh97]. For the sake of simplicity the expression of Erginsoy [Erginsoy50][Bhattacharyya93] is used for the scattering probability

(6.17)

In (6.17) is the neutral impurity concentration and is the effective mass in the valley . Erginsoy's model is based on a parabolic band approximation and gives an energy-independent result for the scattering probability, whereas Sclar's [Sclar56] or other more sophisticated approaches lead to an energy-dependent formulation.

Figure 6.4 depicts the low field mobility of electrons in Si in the low temperature regime. Shown are MC simulation results based on phonon scattering and in addition neutral impurity scattering when indicated. It is shown that neutral impurities cause a mobility reduction at low temperatures, and therefore neutral impurity scattering has to be considered in simulation of BIB devices.

6.4.2 Non-Markovian Impact Ionization Model

An BIB detector can also operate as a single photon multiplier if the bias voltage is large enough to cause an avalanche effect to due impact ionization. In the following, an impact ionization model is described which captures the non-Markovian nature of the avalanche [Sinitsa02][Petroff87].

It is assumed that impact ionization takes place exclusively in the depletion region and that the carriers do not recombine again. The impact ionization rate is derived from (3.52), taking into account that the rate depends on the impurity concentration of the impurity band

(6.18)

When an impact ionization event occurs the energy and position in real space of the secondary particle is saved in a table. The energy is calculated by randomly distributing the primary carrier energy between the primary and the secondary carrier. The primary carrier trajectory is followed until it ends at a contact. On its way through the depletion region several impact ionization events may occur which produce new entries in the table. After the original carrier is collected at a contact the table is reduced by the entry of the already executed carrier and the simulation continuous with the carrier defined by the next table entry. The simulation is finished when there are no more table entries to be processed. With this procedure all carriers of the avalanche are simulated under consideration of their individual trajectory.

Because of their low mobility the carriers in the impurity band experience no avalanche multiplication. As another consequence of the low mobility, the slow carriers in the impurity band cause a local breakdown of the field in the areas of avalanche generation [Petroff87]. This leads to a limitation of carrier multiplication. With Monte Carlo this effect can only be treated by applying a self-consistent simulation scheme.

6.5 Results

In the following simulations are based on the specification of the n-type device given in Table 6.1. It is assumed that the doping concentration changes abruptly at the blocking layer/active layer interface and that the blocking layer is undoped. In the following the orientation of the device is so that the blocking layer is positioned on the right side starting at    µm . The degenerately doped contacts are not included in the simulation domain. Results obtained with different specifications than in Table 6.1 are indicated as they occur.


Table 6.1: Specification of the n-type BIB device.
Device Parameter Value
Substrate Material Si
Active Region: Doping Sb,
Active Region: Doping B,
Blocking Layer Thickness b = 3.5 µm
Active Layer Thickness d = 26.5 µm
Bias Voltage V
Lattice Temperature = 7K


6.5.1 Electrostatic Field

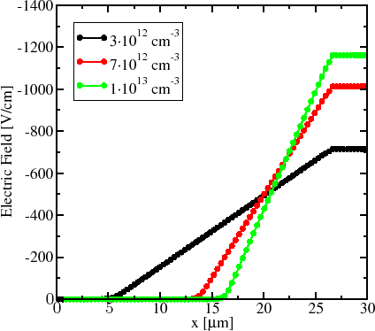
The electrostatic field within the BIB device is obtained from a conventional TCAD-device simulation using MINIMOS-NT. Figure 6.5 shows the electrostatic field in an n-type BIB device at several bias voltages . The results show very good agreement with simulation results from literature [Haegel03b][Huffman92]. Figure 6.6 depicts the electrostatic field in an n-type BIB device for several acceptor concentrations in the IR-active region. Both results agree well with the analytical solutions (6.3) and (6.4).

Figure 6.5: Electrostatic field in an n-type BIB device at several bias voltages. The results show very good agreement with simulation results from literature [Haegel03b][Huffman92].
\includegraphics[width=3.7in]{bib-results/FieldCmp2.eps}
Figure 6.6: Electrostatic field in an n-type BIB device for several acceptor concentrations in the active region.
\includegraphics[width=3.7in]{bib-results/dopingCmp2.eps}

These figures also illustrate some basic rules for the design of BIB devices. It is shown how the depletion area is determined by the bias and the compensation doping. To achieve good quantum efficency it is necessary to have a large depletion area, because this is the part of the IR-active layer where the field is non-zero and so the optical generated electrons are able to proceed to the contact.

On the other hand, to avoid a breakdown condition, the depletion region must not grow into the contact. As a consequence the compensating acceptor doping must be well controlled at a quite low level.

It should also be noted that the field distribution does not depend on the majority doping, which forms the impurity band. In principle, a higher donor concentration leads to higher quantum efficency, but also introduces band broadening, which in turn leads to unwanted thermal dark current.

6.5.2 BIB Device as a Single Photon Counter

For the following simulations the field distribution is obtained by a conventional TCAD simulator and then passed to the Monte Carlo simulator, here VMC. Then a non-selfconsistent Monte Carlo simulation is performed.

When a photon is detected, it lifts an electron from the impurity band to the conduction band, which - if the field is sufficiently large - causes an avalanche multiplication. Two positions for the photon detection at $ x_1=10
 $   µm and    µm are evaluated as depicted in Figure 6.7. Each injection position is simulated 1000 times. In this setup the bias voltage and the acceptor doping concentration in the IR-active region is . All other device specifications are in accordance with Table 6.1.

Figure 6.9 depicts the energy distribution of electrons collected at the contact for an assumed optical generation of the original electron at position . The mean energy is 46.4meV which is only slightly below the energy of electrons starting at position . This indicates that the impact ionization limits the energy gain of the carriers as they proceed through the depletion region.

Figure 6.10 and Figure 6.11 show the shape of the electron avalanche, when it reaches the contact, for electrons generated at position and respectively.

It should be noted that these results are not calibrated against measurement data and therefore only give qualitative insights about the avalanche behavior.

Figure 6.7: Electrostatic field in an n-type BIB device. The dotted lines indicate the detection of two photons at the positions and .
\includegraphics[width=3.7in]{bib-results/pos2500.eps}

Figure 6.8: Energy distribution of electrons at the contact caused by a photon detected at µm.
\includegraphics[width=3.7in]{bib-results/energyDist10.eps}

Figure 6.9: Energy distribution of electrons at the contact caused by a photon detected at µm.
\includegraphics[width=3.7in]{bib-results/energyDist14.eps}

Figure 6.10: Distribution of the arrival time at the contact caused by a photon detected at µm.
\includegraphics[width=3.7in]{bib-results/timeDist10.eps}

Figure 6.11: Distribution of the arrival time at the contact caused by a photon detected at µm.
\includegraphics[width=3.7in]{bib-results/timeDist14.eps}

next up previous contents
Next: 7. Summary and Conclusions Up: Dissertation Gerhard Karlowatz Previous: 5. Results

G. Karlowatz: Advanced Monte Carlo Simulation for Semiconductor Devices