next up previous contents
Next: 6. BIB Devices Up: Dissertation Gerhard Karlowatz Previous: 4. Monte Carlo Technique

Subsections


5. Results

In this chapter the origin of the electron mobility gain in strained Si is explored by the analysis of the band structure obtained by EPM calculations. The same approach is used to explore the mobility gain for holes in strained Ge. Further, results from FBMC simulations are discussed for electrons in strained Si and for holes in strained Ge.


5.1 The Conduction Band Structure of Strained Si

5.1.1 Valley splitting

Usage of strained Si for performance enhancement of CMOS devices started with Si layers epitaxially grown on relaxed SiGe substrates [Welser92] [Welser94]. The thin Si layer takes the larger lattice constant of the SiGe substrate and therefore gets biaxially tensile strained. The usual configuration is a oriented substrate, where the -valleys of the Si layer split into four equivalent valleys in the plane which are shifted up in energy, and two equivalent valleys perpendicular to this plane which are shifted down in energy. The valley splitting suppresses intervalley scattering and therefore increases the mobility. The valley splitting also leads to a higher electron population in the lower valleys. Since the lower valleys exhibit lower effective masses, this redistribution mainly contributes to the mobility gain. With increasing strain the lower valleys are fully populated and the intervalley scattering to higher valleys is completely suppressed. From this point on the low field mobility does not benefit from further increasing the strain and mobility saturates.
Figure 5.1: Energies of the and the valleys relative to the valley for biaxial tensile strain and uniaxial and tensile strain. The abscissa shows the biaxial strain or the strain component in the stressed direction.
\includegraphics[width=3.6in]{figures/strainEffectDeltaE_P.eps}

Figure 5.2: In-plane masses of the lowest valley for biaxial tensile strain and uniaxial and tensile strain.
\includegraphics[width=3.6in]{figures/strainFit_wo.eps}
Uniaxial strain along or also induces valley splitting, but not as strong as biaxial strain does. Figure 5.1 shows a comparison of the strain induced valley splitting as a result of EPM calculation for biaxial strain and uniaxial stress along and directions. It can be observed that biaxial tension is more effective in splitting the conduction band valleys than uniaxial tension.

5.1.2 Effective mass change

Experiments [Irie04][Uchida04] have shown that in the presence of shear strain the electron mobility enhancement in strained Si cannot solely be attributed to the energy splitting of the valleys. A recent study has shown that a stress along the direction leads to a change of the effective masses [Uchida05][Ungersboeck07c]. The in-plane effective mass is rendered anisotropic and can be described by a component parallel to the stress direction and one component normal to stress direction [Ungersboeck07b].

The in-plane effective masses of the lowest valley were extracted from EPM calculations. Figure 5.2 shows that uniaxial tensile stress along yields the most pronounced . This explains the pronounced anisotropy of the mobility in the transport plane as discussed in Section 5.2. The change is negligible for biaxial tensile strain.

This result points out another advantage of uniaxially stressed Si over biaxially strained Si. For high uniaxial stress levels in direction the mobility enhancement originates mostly from the reduced conductivity mass, which is almost linearly reduced with increasing stress. Therefore no saturation for the mobility enhancement occurs within the technological relevant range of strain levels.


5.2 Low Field Electron Mobility of Strained Si

Figure 5.3 depicts the in-plane low field mobility in the strained Si layer versus the Ge mole fraction of the substrate. This result is obtained by FBMC simulation. Since the lattice constant of SiGe is larger than that of Si the resulting strain is tensile. For a mole fraction the low field electron mobility is enhanced by a factor of 1.68 to 2410 . The mobility enhancement saturates for Ge mole fractions above 0.2.

Figure 5.3: In-plane low field mobility of electrons in biaxially strained Si grown on a relaxed substrate.
\includegraphics[width=3.7in]{figures/zfldStrain.eps}

Figure 5.4 depicts the in-plane electron mobility at low electric field for uniaxial tensile stress. Due to the effective mass change a strong anisotropy can be observed with the most pronounced mobility enhancement in stress direction.

A stress of enhances the low field mobility by a factor of 1.63 to 2330 . Note that compressive stress instead of tensile stress could also be used for electron mobility enhancement. The most pronounced enhancement is then achieved perpendicular to the applied stress in direction, otherwise the result looks similar as in Figure 5.4.

Figure 5.4: Low field electron mobility in the plane in bulk Si for uniaxial tensile stress.

\includegraphics[height=3.76in]{figures/mob-US-110_2_rot.eps}
Figure 5.5: Low field electron mobility in the plane of bulk Si for uniaxial tensile stress.
\includegraphics[height=3.76in]{figures/mob-US-111_2_rot.eps}

Figure 5.5 shows the electron mobility in a plane at low electric field for uniaxial tensile stress in direction. In this setup a small low field mobility enhancement along the direction of stress can be achieved for low stress and a degradation for higher stress levels. In direction one can observe a strong mobility degradation for any stress level.

Figure 5.6: Low field electron bulk mobility of Si along for a combination of tensile stress along , compressive stress along and compressive stress along .
\includegraphics[width=3.8in]{xcrv-scipts/vmcBulkMobFb3_2.eps}

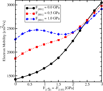
Recent achievements in strain engineering focus on combining different stress configurations to maximize the mobility gain. A promising approach is to apply tensile stress along and compressive stress along to maximize shear strain and combine that with uniaxial compressive stress along  [Ungersboeck07a]. The shear strain considerably lowers the mass in the direction whereas the uniaxial strain component introduces enhanced mobility due to the valley spitting effect. Figure 5.6 shows the mobility enhancement along for this stress setup for several stress level combinations.

5.3 High Field Electron Mobility of Strained Si

In the following the effect of strain on the high field mobility of Si is discussed.

Figure 5.7: Electron velocity as a function of the electric field for field in [100] direction for biaxially strained Si grown on a substrate.
\includegraphics[width=3.8in]{figures/HighFieldBiax2.eps}

Figure 5.7 depicts the electron velocity as a function of the electric field in biaxially strained Si grown on a substrate for various Ge contents. The curves show large velocity enhancement at medium fields but approach for high fields the saturation velocity of relaxed Si. A saturation of the enhancement can be observed for higher stress levels.

Figure 5.8 presents the velocity field characteristics for uniaxial tensile stress in direction and field in and the orthogonal direction. As applied stress is rising, the curves for field in direction show a steeper slope in the low field regime and exhibit a higher saturation velocity.

In contrast to the biaxial stress case the velocity enhancement exhibits no saturation for the shown stress levels, which once again can be explained by the shear strain component for stress in direction and the related effective mass change. Transport in the orthogonal direction shows a degradation of velocity.

Figure 5.8: Electron velocity as a function of the electric field in . Shown are curves for uniaxial tensile stress in and direction.
\includegraphics[width=3.8in]{figures/vel_field110.eps}


5.4 The Valence Band Structure of Strained Ge

The behavior of hole transport mainly depends on the features of two highly an-isotropic bands: the heavy hole (HH) band and the light hole (LH) band. Even in the case of a low applied field both of these bands are important because their minima (in the hole picture) are degenerate at the -point and therefore both contribute to the density of states. For hot holes also the split-off (SO) band has to be considered. Whereas the valence band structure for Si under strain is already explored by means of EPM calculation in literature [Wang06], the following sections focus on the less explored properties of the valence band structure of strained Ge.

5.4.1 Band splitting

Strain lifts the degeneracy of the HH and LH bands and also shifts the SO band. Depending on the type of strain the HH band can be above or below the LH band. Figure 5.9(a) shows the energy splitting between the SO band and the HH band and Figure 5.9(b) the heavy/light hole band energy splitting of biaxially compressively strained Ge grown on a oriented substrate as a result of EPM calculation. For higher compressive strain the heavy/light hole band splitting saturates [Fischetti96a].

Figure 5.9: Split-off band shift relative to the valence band edge and energy splitting of heavy hole/light hole bands in strained Ge grown on a layer.
\begin{figure*}\center
\mbox{\subfigure[Split-off band shift]
{\epsfig{figure =...
...g{figure =ECSfigures/ValSplittingBiax.eps,width=0.49\textwidth}}}\end{figure*}
Figure 5.10: Split-off band shift relative to the valence band edge and energy splitting of heavy hole/light hole bands of compressively stressed Ge in [110] direction.
\begin{figure*}\center
\mbox{\subfigure[Split-off band shift]
{\epsfig{figure =...
...igures/ValSplitting110.eps,width=0.48\textwidth}}}
\vspace*{-2mm}\end{figure*}

Figure 5.10(a) depicts the energy splitting between the SO band and the HH band and Figure 5.10(b) the heavy/light hole band splitting energies of compressively stressed Ge in [110] direction. The splitting energy rises almost linearly with compressive stress in direction for the shown range of pressure. In these strain configurations the HH band is the lowest band and therefore defines the valence band edge whereas for tensile uniaxial strain the LH band is below the HH band. In any case the band splitting reduces the density of states in the low energy regime and suppresses interband scattering, which increases the mobility.

5.4.2 Effective mass change

Figure 5.11: Equi-energy surface at 200 mV of the heavy hole band of relaxed Ge. OW indicates an off-plane wing and IW an in-plane wing.
\includegraphics[width=5in]{ECSfigures/ECSKarlowatz_7.eps}
Figure 5.12: - plane of the heavy hole band of Ge. The thick arrow indicates a heavy effective mass for transport in [110] direction and the thin arrow a low effective mass.
\begin{figure*}\centering
\subfigure[Relaxed]
{\epsfig{figure=ECSfigures/ECSKar...
...
{\epsfig{figure=ECSfigures/ECSKarlowatz_iso2Gb.eps,width=3.6in}}
\end{figure*}
A change in the effective mass can also contribute to the mobility gain [Wang06]. Figure 5.11 shows an equi-energy surface of the HH band at 200 meV as a result of EPM calculation. Carrier population follows the wing shaped form of the band. These wings are indicated as OW in the case of an off-plane wing and as IW for the in-plane wings with respect to the transport plane in . For relaxed Ge these wings are evenly populated, but they are not equivalent regarding transport, which is shown for the in-plane wings in Figure 5.12. For each wing an effective mass can be defined [Wang06]. For electric field in [110] direction the curvature of the equi-energy surface shows heavy masses in the wings IW2 and IW4, whereas for IW1 and IW3 the wings exhibit lower masses. Carriers in the off-plane wings exhibit an intermediate mass.

Under strain some of the wings move up in energy and some move down. This leads to a repopulation effect where the lowest wings get more populated and determine the mobility behavior.

As shown in Figure 5.12(b), for uniaxial compressive stress in the lower mass wings IW1 and IW3 are lowered in energy and therefore higher populated, which leads to a mobility gain for transport along the direction.

5.5 Low Field Mobility of Holes in Strained Ge

The hole mobility of unstrained Ge, being approximately four times higher than that of Si, can be further enhanced by stress engineering. This has been shown in previous experimental and theoretical works for biaxially strained Ge epitaxially grown on a oriented substrate [Fischetti96a][Lee01][Leitz01][Ritenour03]. In the following hole transport properties of arbitrarily stressed/strained Ge are analyzed by means of full-band Monte Carlo simulation.
Figure 5.13: In-plane low field mobility of holes in biaxially compressed Ge grown on a substrate.
\includegraphics[width=3.75in]{ECSfigures/MobVsSi.eps}
Fig. 5.13 shows the in-plane low field mobility versus mole fraction of Si in the substrate. For a mole fraction the low field hole mobility is enhanced by a factor of 3.38 to 6350 . This mole fraction corresponds to biaxial compressive strain of 1.7% in the Ge layer.

Fig. 5.14 depicts the in-plane hole mobility at low electric field for uniaxial compressive stress in direction. In Si technology p-MOS devices with uniaxially stressed channels in this configuration are already fabricated in large volumes [Ghani03]. A strong anisotropy with the most pronounced mobility enhancement in stress direction can be observed. Stress of enhances the low field mobility by a factor of 2.55 to 4790 .

In Figure 5.15 the energy distribution functions for holes in relaxed and uniaxially stressed Ge are compared. Compressive stress is applied in direction. As a result of stress the hole distribution is shifted to higher energies, which is in accordance with the calculated mean hole energy of 43 meV for relaxed Ge and 56 meV for strained Ge. This result is caused by the alteration of the DOS under stress.

Figure 5.14: Low field hole mobility in the plane of bulk Ge for uniaxial compressive stress.
\includegraphics[height=3.8in]{ECSfigures/mob-US-110_np_rot.eps}

Figure 5.15: Energy distribution function for holes in equilibrium for relaxed Ge and Ge with an applied uniaxial compressive stress of 2 GP in direction.
\includegraphics[width=3.75in]{ECSfigures/HoleEnergyDist2.eps}

5.6 High Field Mobility of Holes in Strained Ge

In Figure 5.16 the velocity versus field characteristics for holes in biaxially strained Ge on a substrate is depicted. The field is applied in direction. The highest mobility gain can be observed in the low field regime while the curves converge in the high field regime to a saturation velocity of  cm/s.
Figure 5.16: Hole velocity versus electric field in [100] for biaxially compressed Ge grown on a substrate.
\includegraphics[width=3.7in]{ECSfigures/highfieldvel_biax.eps}

Figure 5.17 presents the velocity versus field characteristics for uniaxial compressive stress and field in direction. In the low field regime the curves show a superlinear increase of velocity with increasing stress, while at high fields the curves converge as observed for biaxial strain.

Figure 5.17: Hole velocity as a function of the electric field in compressively stressed Ge for field and stress in [110] direction.
\includegraphics[width=3.7in]{ECSfigures/Ge110HighField.eps}


next up previous contents
Next: 6. BIB Devices Up: Dissertation Gerhard Karlowatz Previous: 4. Monte Carlo Technique

G. Karlowatz: Advanced Monte Carlo Simulation for Semiconductor Devices