Next: 4.2.3 Discretization of the
Up: 4.2 Discretization of the
Previous: 4.2.1 Discretization of Laplace's
4.2.2 Discretization of the Thermal Equation
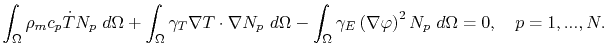
For convenience, the thermal equation (3.72) is rewritten here as
 |
(4.33) |
where the notation
is used.
Following the same procedure as for Laplace's equation, one multiplies (4.33) by
and integrates over the domain
, which together with Green's formula (4.26) and a Neumann boundary condition yields the weak formulation
 |
(4.34) |
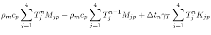
The thermal equation (4.33) corresponds to a parabolic problem. Besides the spatial discretization, a discretization in time has also to be performed. A simple choice is the backward Euler method
 |
(4.35) |
where
is the time step. Applying now the spatial discretization for the temperature variable
 |
(4.36) |
and the electric potential discretization (4.29), equation (4.34) is written for a single element as
| |
 |
|
| |
 |
(4.37) |
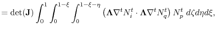
Using the integral notations (4.31),
 |
(4.38) |
and
(4.37) can be expressed as
 |
|
 |
(4.40) |
This is the discrete system of equations, which has to be solved each time step in order to obtain the temperature at each node of the element.
Next: 4.2.3 Discretization of the
Up: 4.2 Discretization of the
Previous: 4.2.1 Discretization of Laplace's
R. L. de Orio: Electromigration Modeling and Simulation