next up previous contents
Next: 6. Summary and Conclusion Up: Dissertation Martin-Thomas Vasicek Previous: 4. Subband Macroscopic Models

Subsections



5. Material Investigations

AN OUTLOOK of the behavior of higher-order macroscopic transport parameters in the bulk regime of semiconductor alloys such as Silicon-Germanium (SiGe) and Gallium Arsenide (GaAs) is given. Investigations concerning the closure relation of the six moments model using the MC method are carried out.

5.1 Higher-Order Parameter Extraction

So far in this work, all transport investigations have been performed for Si. However, for instance in high-frequency devices such as high electron mobility transistors (HEMTS) the basic semiconductor material is GaAs. Therefore, for engineering applications, an accurate macroscopic description of carrier transport in other materials is of substantial importance. With the developed MC based transport parameter model it is possible to characterize higher-order transport models in these materials with as few approximations as possible. Hence, a study of higher-order parameters in these material systems is very crucial. In order to describe 3D bulk higher-order macroscopic transport models in materials as SiGe [164,165,166] and GaAs [167], the relaxation times as well as the higher-order mobilities are extracted as a function of the kinetic energy of the carriers and as functions of the lateral electric field, respectively.

5.1.1 Silicon-Germanium

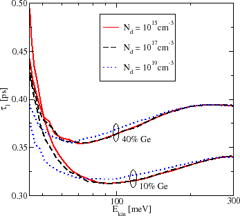
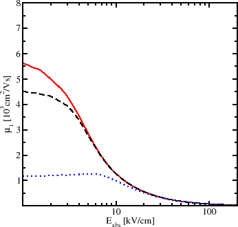
With increasing Ge fraction up to  $ {\mathrm{40}}{\;}{\mathrm{\%}}$ in Si, the values of higher-order mobilities decrease, due to the increase of alloy scattering as visualized in Fig. 5.1. Here, the mobilities $ \ensuremath {\ensuremath {\mu }_{\mathrm {0}}}$ , $ \ensuremath {\ensuremath {\mu }_{\mathrm {1}}}$ , and $ \ensuremath {\ensuremath {\mu }_{\mathrm {2}}}$ are presented as a function of the electric field for a doping concentration of $ {\mathrm{10^{15}}}{\;}{\mathrm{cm^{-3}}}$ , $ {\mathrm{10^{17}}}{\;}{\mathrm{cm^{-3}}}$ , and $ {\mathrm{10^{19}}}{\;}{\mathrm{cm^{-3}}}$ , respectively and for a Ge composition in Si of $ {\mathrm{10}}{\;}{\mathrm{\%}}$ and $ {\mathrm{40}}{\;}{\mathrm{\%}}$ . A non-parabolic band structure has been assumed. As pointed out the mobilities of $ {\mathrm{10}}{\;}{\mathrm{\%}}$ Ge fraction are higher than the mobilities of $ {\mathrm{40}}{\;}{\mathrm{\%}}$ . For high-fields the values of the mobilities yield more or less the same results, while for low fields a significant splitting especially in the $ {\mathrm{10}}{\;}{\mathrm{\%}}$ Ge fraction case between the highly doped and the lowly doped concentration is visible.
Figure 5.1: Carrier mobility and higher-order mobilities for a $ \mathrm {10 \%}$ and $ \mathrm {40 \%}$ Ge composition, respectively as a function of the lateral electric field. Ge has got a deep influence on the mobilities for low fields, while for high-fields the influence of Ge on the mobilities decreases.
\includegraphics[width=0.5\textwidth]{rot_figures_left/simulation/transport/MCdata/SiGe/mob0_10_40.eps} \includegraphics[width=0.5\textwidth]{rot_figures_left/simulation/transport/MCdata/SiGe/mob1_10_40.eps} \includegraphics[width=0.5\textwidth]{rot_figures_left/simulation/transport/MCdata/SiGe/mob2_10_40.eps}
The energy flux and the second-order energy flux mobilities are for low doping concentrations lower than the carrier mobility. However, as can be seen, for increasing doping concentrations the higher-order mobilities together with $ \ensuremath {\ensuremath {\mu }_{\mathrm {0}}}$ are practically equal. Such a behavior is also typical for Si (see Fig. 2.1). The carrier mobility together with the higher-order mobilities for low fields as a function of the Ge composition are given in Fig. 5.2. The carrier mobility shows a very good agreement with the mobility data from [8]. All mobilities have a minimum at $ {\mathrm{40}}{\;}{\mathrm{\%}}$ Ge, while a high increase of the mobility values at a Ge composition greater than $ {\mathrm{80}}{\;}{\mathrm{\%}}$ can be observed. For pure Ge the mobilities are very high.
Figure 5.2: Low field carrier mobility together with higher-order mobilities as a function of the Ge composition. The carrier mobility fits the data from [8] quite well. The minimum of the mobilities is at $ \mathrm {40 \%}$ , while a high increase of the mobility values can be observed for Ge composition greater than $ \mathrm {80 \%}$ .
\includegraphics[width=0.5\textwidth]{rot_figures_left/simulation/transport/MCdata/SiGe/mob_ge_composition.eps}
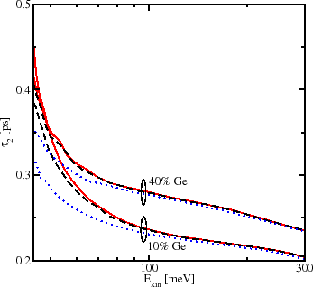
In Fig. 5.3, the energy relaxation time and the second-order relaxation time are given for different Ge fractions as a function of the carrier kinetic energy. As can be observed, the energy relaxation time for the $ {\mathrm{10}}{\;}{\mathrm{\%}}$ Ge case is lower than for the $ {\mathrm{40}}{\;}{\mathrm{\%}}$ Ge case, which is an indication of the higher optical phonon scattering rate in the $ {\mathrm{10}}{\;}{\mathrm{\%}}$ Ge case compared to the $ {\mathrm{40}}{\;}{\mathrm{\%}}$ Ge.
Figure 5.3: The energy relaxation time (left) and the second-order relaxation time (right) for a Ge mole fraction of $ \mathrm {10 \%}$ and $ \mathrm {40 \%}$ as a function of the carrier energy. For the $ \mathrm {10 \%}$ Ge case the relaxation times are lower than for the $ \mathrm {40 \%}$ Ge case.
\includegraphics[width=0.5\textwidth]{rot_figures_left/simulation/transport/MCdata/SiGe/tau1_10_40.eps} \includegraphics[width=0.5\textwidth]{rot_figures_left/simulation/transport/MCdata/SiGe/tau2_10_40.eps}

Figure 5.4: Carrier velocities for different doping concentrations as a function of the electric field and for different Ge compositions. For high fields the velocities are independent of the doping concentrations, while the velocities for low Ge compositions are higher than for the $ \mathrm {40 \%}$ case.
\includegraphics[width=0.5\textwidth]{rot_figures_left/simulation/transport/MCdata/SiGe/velocity_10_40.sige.eps}

The velocities for the same doping concentrations as for the higher-order transport parameters are shown in Fig. 5.4. For high electric fields the values of the velocities are independent of the doping concentrations, while their maximum values are reduced in the $ {\mathrm{40}}{\;}{\mathrm{\%}}$ Ge case. For Ge composition higher than  $ {\mathrm{40}}{\;}{\mathrm{\%}}$ the velocity would increase, due to the rise of the carrier mobility for Ge composition greater than  $ {\mathrm{40}}{\;}{\mathrm{\%}}$ as can be seen in Fig. 5.2.

Figure 5.5: Kurtosis for a $ \mathrm {100 nm}$ $ \mathrm {n}^+\mathrm {n}\mathrm {n}^+$ structure for Si and SiGe. In the channel region the kurtosis of SiGe is higher than in Si, while the kurtosis of Si exceeds the one of SiGe at the beginning of the drain region.
\includegraphics[width=0.5\textwidth]{rot_figures_left/simulation/transport/MCdata/SiGe/kurtosis_si_ge.eps}

The kurtosis of a  $ {\mathrm{100}}{\;}{\mathrm{nm}}$ channel length  $ \mathrm {n}^+\mathrm {n}\mathrm {n}^+$ structure is presented in Fig. 5.5 for pure Si and for SiGe with a Ge composition of  $ {\mathrm{40}}{\;}{\mathrm{\%}}$ . An electric field of $ {\mathrm{50}}{\;}{\mathrm{kV/cm}}$ in the middle of the channel has been applied. As can be observed in the channel, the kurtosis of the  $ {\mathrm{40}}{\;}{\mathrm{\%}}$ Ge case is approximately 0.85, while the kurtosis in the Si case is 0.8. The maximum values at the beginning of the drain region is 1.4 in Si and 1.3 in SiGe, respectively. The kurtosis in $ {\mathrm{40}}{\;}{\mathrm{\%}}$ Ge is closer to unity than for the Si case, which is an indication that the carrier distribution function of $ {\mathrm{40}}{\;}{\mathrm{\%}}$ Ge is closer to a heated Maxwellian than in pure silicon. This is also visible in Fig. 5.6.

Figure 5.6: Sixth moment obtained by MC simulations divided by the expression from equation (1.124) for different values of  $ \ensuremath {c}$ . The value 2.7 is also a very good choice in SiGe and is even improved compared to Si.
\includegraphics[width=0.5\textwidth]{rot_figures_left/simulation/transport/MCdata/SiGe/nin/closure_sige.eps}

Next, investigations concerning the empirical factor  $ \ensuremath {c}$ of the closure relation of the six moments model in SiGe are carried out. The sixth moment from MC simulations divided by the analytical expressions (1.124) is shown in Fig. 5.6. The lower order moments from equation (1.124) has been used from MC. It has been demonstrated that the value $ \mathrm{2.7}$ is as well the best choice in SiGe and is even improved compared to the Si case, which is also pointed out in Fig. 5.6.

5.1.2 Gallium Arsenide

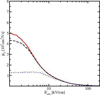
The carrier mobility together with the higher-order mobilities are presented in Fig. 5.7. As demonstrated, $ \ensuremath {\ensuremath {\mu }_{\mathrm {0}}}$ is very high for a doping concentration of  $ {\mathrm{10^{15}}}{\;}{\mathrm{cm^{-3}}}$ compared to Si, which makes GaAs very attractive for high electron mobility transistors (HEMT) [168,169,167,170,171]. Lower values of $ \ensuremath {\ensuremath {\mu }_{\mathrm {1}}}$ and $ \ensuremath {\ensuremath {\mu }_{\mathrm {2}}}$ can be observed for doping concentrations of $ {\mathrm{10^{15}}}{\;}{\mathrm{cm^{-3}}}$ and $ {\mathrm{10^{17}}}{\;}{\mathrm{cm^{-3}}}$ , while for high doping concentrations, the values of all three mobilities are comparable.

Figure 5.7: Carrier mobility and higher-order mobilities for GaAs as a function of the lateral electric field. The values of the mobilities are very high with respect to the ones for Si.
\includegraphics[width=0.5\textwidth]{rot_figures_left/simulation/transport/MCdata/GaAs/mob0_GaAs.eps} \includegraphics[width=0.5\textwidth]{rot_figures_left/simulation/transport/MCdata/GaAs/mob1_GaAs.eps} \includegraphics[width=0.5\textwidth]{rot_figures_left/simulation/transport/MCdata/GaAs/mob2_GaAs.eps}

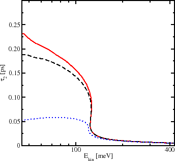
The energy relaxation time and the second-order energy relaxation time for different dopings as a function of the kinetic energy is presented in Fig. 5.8. As depicted, the value of $ \ensuremath {\tau _\mathrm {1}}$ is higher than in Si or SiGe and the peak corresponds to the kinetic energy of  $ {\mathrm{100}}{\;}{\mathrm{meV}}$ .

Figure 5.8: Energy relaxation time and the second-order relaxation time for GaAs obtained for different doping concentrations as a function of the kinetic energy. The energy relaxation time has its maximum at $ \mathrm {100 meV}$ , while the shape of the second-order energy relaxation time is completely different compared to the energy relaxation time.
\includegraphics[width=0.5\textwidth]{rot_figures_left/simulation/transport/MCdata/GaAs/tau1_GaAs.eps} \includegraphics[width=0.5\textwidth]{rot_figures_left/simulation/transport/MCdata/GaAs/tau2_GaAs.eps}
Different relaxation times can be observed for different doping concentrations for energies below $ {\mathrm{150}}{\;}{\mathrm{meV}}$ , while for high kinetic energies $ \ensuremath {\tau _\mathrm {1}}$ and $ \ensuremath {\tau _\mathrm {2}}$ are doping concentration independent. Note that the shape of  $ \ensuremath {\tau _\mathrm {1}}$ and  $ \ensuremath {\tau _\mathrm {2}}$ is different compared to Si and SiGe, where these values are more or less equal.
Figure 5.9: The carrier velocity for different doping concentrations as a function of the driving field. For a field of $ \mathrm {5 kV/cm}$ the carrier velocity has its maximum, while for high fields the velocity decreases.
\includegraphics[width=0.5\textwidth]{rot_figures_left/simulation/transport/MCdata/GaAs/velocity_GaAs.eps}
The reason of the strong decrease of the relaxation times at $ {\mathrm{120}}{\;}{\mathrm{meV}}$ is the transition of the carriers from the light effective mass valley ( $ \mathrm{\Gamma}$ -valley) to the heavy effective mass (L-valley). In Fig. 5.9 the velocity for doping concentrations of $ {\mathrm{10^{15}}}{\;}{\mathrm{cm^{-3}}}$ , $ {\mathrm{10^{17}}}{\;}{\mathrm{cm^{-3}}}$ , and $ {\mathrm{10^{19}}}{\;}{\mathrm{cm^{-3}}}$ are plotted as a function of the driving field. This velocity behavior in GaAs can be explained in a two valley picture [9] similar to the shape of the relaxation times as demonstrated in Fig. 5.10. Here the valleys around the $ \Gamma $ and L points of GaAs are shown. The $ \Gamma $ -valley and the L-valley have effective masses of $ \ensuremath{{m^*}}=\mathrm{0.063}\ensuremath{m}_0$ and $ \ensuremath{{m^*}}=\mathrm{0.55}\ensuremath{m}_0$ , respectively. Due to the light effective mass, the carrier mobility of the $ \Gamma $ valley is high, while the mobility decreases in the L-valley due to the heavy mass. Such a behavior related to different effective masses in each valley of GaAs leads to the decrease of carrier velocity for high fields as demonstrated in Fig. 5.9. However, the maximum carrier velocity in GaAs is more or less twice as high as in Si and therefore the kinetic energy of the carriers is four times larger than in Si. This is also reflected in Fig. 5.11.

Figure 5.10: $ \Gamma $ - and L-valleys of GaAs are shown. For low fields the carriers are in the light hole $ \Gamma $ -valley, while for high-fields the carriers are in the upper heavy hole valleys, decreasing the carrier velocity (after [9]).
\includegraphics[width=0.5\textwidth]{figures/svg/GaAs_valley.eps}
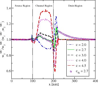
Here, the kurtosis of a $ \mathrm {n}^+\mathrm {n}\mathrm {n}^+$ structure with a channel length of $ {\mathrm{100}}{\;}{\mathrm{nm}}$ in GaAs and Si is given. As can be observed, the kurtosis in GaAs is higher in the channel and at the beginning of the drain region than in Si, which is an indication of the higher influence of the energies in GaAs on the distribution function than in Si. This is depicted in Fig. 5.12. Here, the closure relation investigations of the six moments model concerning the empirical factor  $ \ensuremath {c}$ of equation (1.124) is shown and compared to the Si case. As can be observed $ \mathrm{2.7}$ is also a very good choice for $ \ensuremath {c}$ in GaAs.

Figure 5.11: Kurtosis profile of the $ \mathrm {n}^+\mathrm {n}\mathrm {n}^+$ structure with a channel length of $ {\mathrm{100}}{\;}{\mathrm{nm}}$ of GaAs and Si. The kurtosis at the end of the channel is lower in GaAs than in Si, while the kurtosis of GaAs is beyond Si at the beginning of the drain region.

\includegraphics[width=0.5\textwidth]{rot_figures_left/simulation/transport/MCdata/GaAs/kurtosis_si_gaas.eps}

Figure 5.12: Sixth moment obtained by MC simulations divided by the analytical expression from equation (1.124) for different values of  $ \ensuremath {c}$ . The lower-order moments for equation (1.124) have been taken from MC simulations. Note that $ \ensuremath {c}=\mathrm {2.7}$ is also a good choice in GaAs.
\includegraphics[width=0.5\textwidth]{rot_figures_left/simulation/transport/MCdata/GaAs/nin/closure_GaAs.eps}


next up previous contents
Next: 6. Summary and Conclusion Up: Dissertation Martin-Thomas Vasicek Previous: 4. Subband Macroscopic Models

M. Vasicek: Advanced Macroscopic Transport Models