Next: 5. Material Investigations
Up: Dissertation Martin-Thomas Vasicek
Previous: 3. Homogeneous Transport in
Subsections
4. Subband Macroscopic Models
IN ORDER TO ACCURATELY describe carrier transport in the inversion
layer of a whole device, a 2D non-parabolic macroscopic transport model up to
the sixth order has been developed. To include inversion layer effects and to
characterize high field transport, a special transport parameter extraction
technique from SMC simulations has been carried out. Surface-roughness
scattering as well as quantization are thus inherently considered in the SMC
tables as described in the previous chapter. Now it is possible to specify
higher-order mobilities as well as the macroscopic relaxation times as a
function of the effective field. To verify the validity of the 2D macroscopic
models, the results are benchmarked against device-SMC simulations. The
models are applied to UTB SOI MOSFETs and their predictions are discussed for
different channel lengths.
As shown in Fig. 4.1, the extracted higher-order
transport parameters derived from SMC forms the base for a parameter
interpolation within the channel of the device simulator. In the source and in
the drain region the transport parameters are set as constant. The device
simulator calculates the transverse effective field in the channel, which is
the field perpendicular to the current flow defined as
and extracts from the SMC tables the mobilities and relaxation times as a
function of the effective field. The upper integration limit
of
equation (4.1) is the channel thickness. The calculated
effective field in Fig. 4.2 for different drain voltages
of
,
, and
throughout a
channel length SOI MOSFET
device are shown, while the extracted higher-order parameter-set from SMC
simulations for different effective fields is presented
in Fig. 4.3 and Fig. 4.4. The explicit
equation-set of the 2D six moments model is given as
Figure 4.1:
The SP-SMC loop describes the transport of a two-dimensional
electron gas in an inversion layer. After convergency is reached, the device
simulator utilizes the extracted parameters to characterize transport through
the channel of the whole device.
|
|
The closure relation of the 2D six moments
model has been taken into account according to Fig. 1.15 as
 |
(4.8) |
Figure 4.2:
Effective field profile throughout the whole device for several bias
points. With the effective fields and the SMC tables, higher-order transport
parameters can be modeled as a function of the effective field.
|
|
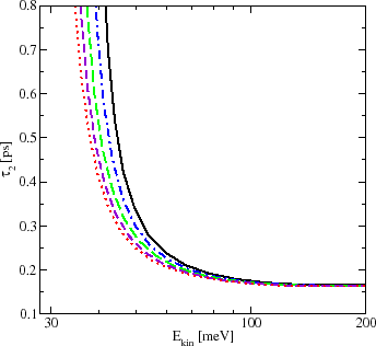
Figure 4.3:
Energy relaxation time and second-order relaxation time for different
effective fields as a function of the kinetic energy of the carriers. For
high carrier energies, the relaxation times of the different inversion layers
yield the same value.
|
|
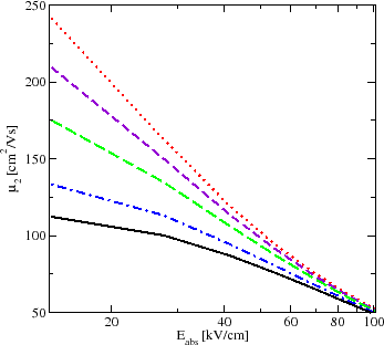
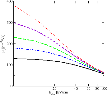
Figure 4.4:
Carrier and higher-order mobilities for different effective fields as
a function of the lateral field. For high fields the mobilities converge to
the same value.
|
|
The behavior of the kurtosis
of the 2D six moments model through the
channel of the UTB SOI MOSFET with a channel length of
,
, and
, respectively, is shown
in Fig. 4.5. On the left side of Fig. 4.5, the
second-order temperature
and the carrier temperature profile
is shown, while on the right side the kurtosis is presented. In the
source region, the kurtosis equals unity in all three shown devices, while the
kurtosis decrease down to 0.8 at the end of the channel, which means that the
heated Maxwellian overestimates the carrier distribution function in the
channel also in the 2D model. Different values greater than one can be observed
at the beginning of the drain region. While for the device with a channel
length of
the value of the kurtosis is 1.55, the value
increases up to 2 for the
channel length device. Therefore,
for decreasing channel lengths, the kurtosis increases in the inversion layer
as well, which is an indication of the increasing high energy tail of the
distribution function.
Figure 4.5:
Second-order temperature
, carrier temperature
,
and kurtosis
for different SOI MOSFETs with channel lengths of
,
, and
. For
decreasing channel lengths the kurtosis increases due to the increase of the
high energy tail of the distribution function.
|
|
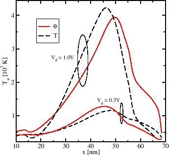
Figure 4.6:
Temperature and second-order temperature profiles for different drain
voltages. For the low drain voltage case, the second-order temperature yields a
similar result compared to the carrier temperature, while a significant
deviation between
and
especially in the drain region can be
observed for high fields.
|
|
In Fig. 4.6, the carrier temperature together with the
second-order temperature profiles for drain voltages of
and
are plotted. For low fields, a good approximation of the
carrier distribution function is the heated Maxwellian, while an increase of
the kurtosis can be observed for high driving fields especially in the drain
region.
Quantum mechanical confinement has been considered in the
classical device simulator using the quantum correction model IMLDA, which
has been consistently calibrated to the Schrödinger-Poisson simulator
used in the device-SMC simulator (DSMC) as demonstrated
in Fig. 4.7 (see Section 1.3.4). A detailed description of the
used DSMC simulator can be found in [162,148,163].
The CV-curves of SOI MOSFETs with different gate lengths of
,
, and
are calculated once with the SP
solver used in the DSMC simulator and with the classical device simulator
including the IMLDA model. As can be observed for high gate voltages both
simulations yield the same capacitances and therefore we conclude that the
IMLDA model approximates the quantum confinement very well. In the following
simulations, a gate voltage of
is applied. The importance
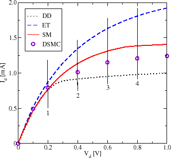
of the quantum correction model is pointed out in Fig. 4.8. Here,
the output current is calculated with the DD, ET, SM, and as a reference with
device-Subband Monte Carlo data of a
channel length SOI MOSFET. In
the macroscopic models the calibrated quantum correction model has been
considered. As can be clearly seen, the SM model predicts an output current
very close to the DSMC result, while the ET model overestimates the current
and the DD model is below the DSMC result. All currents of the macroscopic
models are shifted to higher values when the quantum correction model is
neglected. Thus, in order to have a reasonable comparison between the 2D
macroscopic transport models and the DSMC simulator, where the
Schrödinger equation is directly solved, the quantum correction model is
very important, as will be demonstrated in the next section.
Figure 4.7:
Capacity versus gate voltages for devices with
,
, and
gate lengths calculated
with the Schrödinger-Poisson solver and with the calibrated quantum
correction model. For a gate voltage used in most simulations of
both simulators yield the same result.
|
|
Figure 4.8:
Output characteristics of a
channel length UTB SOI
MOSFET calculated with the DD, ET, SM models and, as a reference, with
DSMC data. As can be observed, the SM model delivers a current very close
to the SMC current. Neglecting the quantum correction model increases the
output current of the macroscopic models.
![\includegraphics[width=0.5\textwidth]{rot_figures_left/simulation/device_macro/current_quantum.eps}](img669.png) |
To investigate the validity of the developed subband macroscopic models a
comparison with the device-SMC simulator will be carried out. Starting with
the long channel device, the further focus is put on short channel devices.
As a consistency check for long channel devices, all macroscopic transport
models together with the DSMC method must yield the same
results. In Fig. 4.9 output characteristics of
a
and a
channel length SOI MOSFETs are
presented.
Figure 4.9:
Output current of
and
channel
devices calculated with the DD, ET, and SM model are compared to
the output current obtained by DSMC simulations. For the
device, the results of all models converge.
|
|
As demonstrated for a channel length of
, all models
predict approximately the same results. Hence, the DD model is a suitable model
for long channel devices. However, for a channel length of
,
the SM model and the DSMC method predict comparable output currents, while a
significant deviation of the current to lower values can be observed in the DD
model for high drain voltages. While the DD model yields lower values, the ET
model slightly overestimates the results from DSMC simulations. This current
overestimation of the ET model increases for decreasing channel lengths as can
be seen in short channel devices (see Fig. 4.8).
Output currents of a
channel SOI MOSFET device have been
already demonstrated in Fig. 4.8. The current of a critical channel
length device of
is pointed out
in Fig. 4.10. As can be observed already at
, the DD model underestimates the
current of the SMC simulation, while the ET overestimates the current. The
marks at drain voltages of
,
,
, and
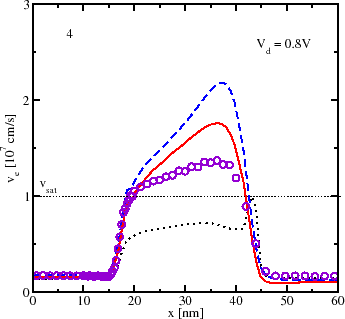
are linked to the velocity profiles
presented in Fig. 4.11. However, at high drain voltages, even
the DD model is closer to the DSMC results than the ET model. The most accurate
model is the SM model, which is also visible in the velocity profiles shown
in Fig. 4.11.
Figure 4.10:
Output current of a
channel length device
calculated with the DD, ET, SM models, and with the SMC method. The SM model
predicts the most accurate result, while ET overestimates and DD
underestimates the current, respectively.
|
|
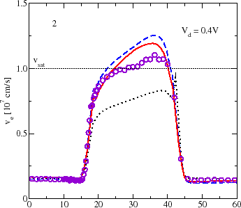
Here the velocity profile for several drain voltages of
,
,
, and
of the
channel
device is presented. At low drain voltage of
, the velocity of all macroscopic
transport models are equal to the velocity profile obtained by MC
simulations, which corresponds to the same output current
of Fig. 4.10. However, with increasing drain voltages the
velocity profile obtained by the ET model increases rapidly, which has a strong
impact on the current of the ET model. The DD model delivers the lowest
velocity of all three models due to the inferior closure relation. The
velocity obtained from the SM model is between ET and DD model and is very
close to the SMC simulation. The spurious velocity overshoot at the end of the
channel in the higher-order transport models is also clearly visible for high
drain voltages. For low drain voltages, the peak in the velocity profile at the
end of the channel disappears.
Figure 4.11:
Evolution of the velocity profiles of a UTB SOI MOSFET with a channel length of
for drain voltages of
,
,
, and
. The spurious velocity
overshoot, especially in the ET model is clearly visible for drain voltages of
.
The SM model predicts most accurate results.
|
|
Due to surface roughness scattering and quantum correction, the velocity
profile of the
device is only half as high as in the 3D case
(see Fig. 2.14).
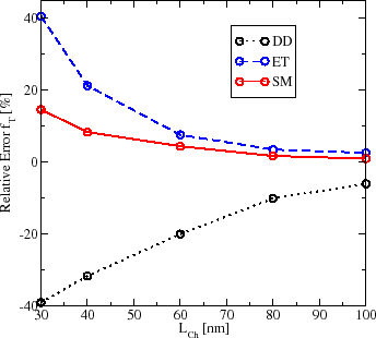
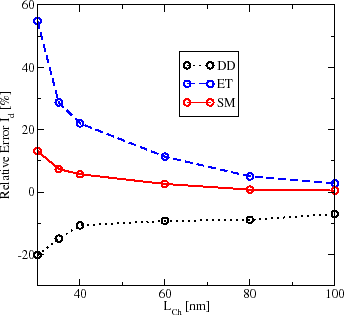
In Fig. 4.12, the current at
as a function of the channel length is
shown. For
, the ET and the SM model yield an output current
with an error below
(see Fig. 4.13), while the
error of the current of the DD model is about
. With a
further decrease of the channel length down to
, the error of
the ET model increases rapidly, while the SM model stays below
. At about
, even the magnitude of the error
of the DD is smaller than the ET model. For a critical channel length of
, the error of the DD, ET, and SM model is
,
, and
, respectively.
Fig. 4.14 shows the transit frequencies of devices with different
channel lengths. As can be observed, the SM model is as well the most accurate
model compared to the DD and the ET model. The error of the DD model
(see Fig. 4.15) of the transit frequencies is higher than the error
of the current at very short channel lengths.
Therefore, comparing all three macroscopic transport models, the SM approach
predicts the most accurate results, while the error of the DD and especially of
the ET model increase rapidly below a channel length of
.
Figure 4.12:
Output current at
as a function of the channel
length. A significant increase in the current of the ET model at channel
lengths below
can be observed, while the current from the
DD model is below the current of the DSMC. The SM model yields the most
accurate current.
|
|
Figure 4.13:
Relative error as a function of the channel length of the DD, ET, and
the SM models. The error of the ET model increases rapidly for devices with a
channel length below
where even the DD model becomes
better. The SM model is the most accurate model for short channel devices.
|
|
Figure 4.14:
Transit frequencies as a function of the channel length. A significant
increase of the frequency in the ET model at channel lengths below
can be observed, while the frequency from the DD model is
below the frequency of the DSMC. The SM model yields the most accurate result.
|
|
Figure 4.15:
Relative error of the transit frequencies as a function of the channel
length of the DD, ET, and the SM models. The error of the DD model is higher
than the error of the current (see Fig. 4.13), while the SM
model is here as well the most accurate model.
|
|
In order to show the influence of surface roughness scattering within
higher-order macroscopic transport models of a whole device, macroscopic
transport model simulations have been performed once with MC tables, where
SRS is neglected and than with MC tables, where SRS is
considered. To show just the impact of SRS, the quantum correction model has
been turned off. A
channel length UTB SOI MOSFET is here
the object of investigations.
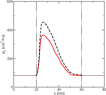
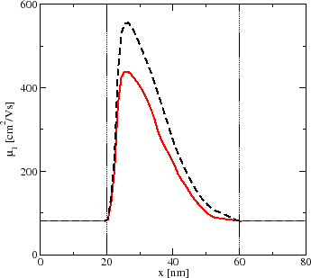
Fig. 4.16 shows the carrier mobility and higher-order
mobility cut of the
device. As can be observed the influence
of SRS at the beginning of the channel is stronger than at the end. This can
be explained as follows:
Figure 4.16:
Carrier and higher-order mobilities for a
channel
length device. The influence of SRS at the beginning of the channel is
stronger than at the end.
|
|
As shown in Chapter 3, for low energies the carrier wavefunctions
are closer to the interface than for high energies. The carriers are shifted
away from the interface and therefore the impact of surface roughness
scattering decrease for high energies. Since the carriers have got low energies
at the beginning of the channel the impact of SRS is high. With increasing
energies SRS decreases. This is visible in Fig. 4.16. Due
to the elastic nature of SRS the relaxation times are unaffected by SRS
as already demonstrated in Chapter 3.
Due to the elastic nature of the scattering process, SRS has got only a
minor influence on the carrier temperature
and the second-order
temperature
as presented in Fig. 4.17.
Figure 4.17:
Carrier temperature
and second-order temperature
calculated once with MC tables considering SRS and neglecting
SRS, respectively. As can be seen
and
are unaffected by SRS.
|
|
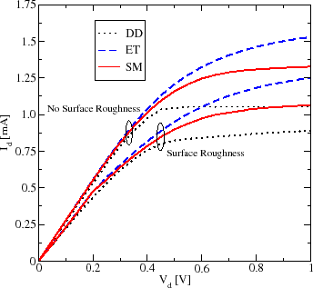
Fig. 4.18 shows output characteristics calculated with the DD, ET,
and the SM model considering and neglecting SRS. As pointed out, the
current, where surface roughness scattering has been neglected is significantly
higher, than the current with surface roughness scattering.
Figure 4.18:
Output characteristics of a
channel length SOI
MOSFET calculated with the DD, ET, and the SM model using SMC data with
SRS and SMC data without SRS.
|
|
In this section, a comparison between the 2D higher-order macroscopic models
and the 3D higher-order models based on bulk MC tables is carried out. The
quantum correction model has been turned off in the device simulator for the 2D
and in the 3D case, in order to depict the influence of the 2D discretization
and the 2D subband MC tables. In order to have an adequate comparison
between 3D bulk simulations, where by definition no surface roughness
scattering is considered, SRS has been also neglected in the 2D subband
models.
Fig. 4.19 presents velocity profiles of the UTB SOI MOSFET with
a channel length of
calculated with the DD, ET, and the SM
model. As can be observed 3D bulk macroscopic models with fullband MC data
yield higher velocities than the 2D macroscopic models with subband MC
data, where surface roughness scattering is neglected.
Figure 4.19:
Velocity profile of a
channel length SOI MOSFET
computed with the two-dimensional DD, ET, and SM model neglecting SRS in
the subband MC tables and with the 3D macroscopic models using fullband
MC tables.
|
|
Figure 4.20:
Output characteristics of a
channel length SOI
MOSFET calculated once with the 2D macroscopic models using
SMC data without SRS and with their 3D counterpart using fullband MC data.
|
|
Due to the higher velocities in the bulk regime, the output currents of the DD,
ET, and the SM model are also
higher than in the subband system as shown in Fig. 4.20.
A higher-order macroscopic approach to describe carrier transport in the
inversion channel of advanced devices such as UTB SOI MOSFETs has been
demonstrated and successfully compared to device-SMC data. A very good
agreement of the output current down to channel length of
between the SMC simulations and the 2D six moments model based on SMC
data is observed. The great advantage of macroscopic models compared to Monte Carlo
simulations is the time factor, which makes it suitable for engineering
applications.
Next: 5. Material Investigations
Up: Dissertation Martin-Thomas Vasicek
Previous: 3. Homogeneous Transport in
M. Vasicek: Advanced Macroscopic Transport Models