next up previous contents
Next: 5.7 Potential of an Up: 5. Modeling of Electrolytic Previous: 5.5 Ionic Activity


5.6 Insulator Surface Charge: Site-Binding Model

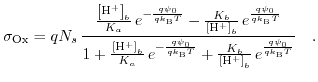
Figure 5.3: The insulator surface exhibits open binding sites due to the lack of insulator bonding partners at the surface. These binding sites can be either negatively/positively charged or neutral, depending on the properties of the liquid covering the surface. The surface charge density depends on the surface potential $ \psi _{0}$, material properties, and the local hydrogen concentration $ \left [\mathrm {H}^{+}\right ]_{b}$.
\includegraphics[width=0.3\textwidth]{figures/site-binding-model.ps}

The Gouy-Chapman-Stern model describes the main contributions to the electric double layer. It relates the accumulated charge at the surface of the electrochemical interface to the applied potential. Despite the accurate description of the electrostatic interactions, there is no chemical interaction included in the model. Chemical reactions at the interface can lead to a net charge presence at the insulator's interface[198]. In this section the site-binding model will be investigated, allowing to include chemical processes at the insulator interface in the description. The inability of the regular double layer model to predict the correct net charge density in the electrolyte, shows the need for embracing chemical reactions at the interface with the site-binding model.

Unlike for electrostatic forces which act over long ranges, chemical reactions only occur within molecular distances. Therefore the assumption that chemical reactions are only possible within the OHP is chosen. Firstly, ionic species from the dissolved salt hold a water shell and cannot come closer to the interface than the OHP. Therefore, ions cannot contribute to the chemical reactions at the insulator interface (neglecting the possibility of specific adsorbtion of salt ions). Secondly, the much smaller hydrogen ions are not blocked by the OHP, due to their much smaller ionic radius and being not hydrated. They can approach the interface close enough to enable chemical reactions. As depicted in Fig. 5.3 the surface of an insulator inhabits a huge amount of unsaturated bonds. Neglecting unspecific adsorbtion, the only ions capable of bonding these sites are the hydrogen and hydroxyl ions [196,197,198], because they are not shielded by water layers. The following chemical reactions are dynamically balanced in the membrane, under the assumption of thermal equilibrium and without any net reaction5.3:

\begin{displaymath}\begin{array}{c} \mathrm{MH}_{2}^{+}\autorightleftharpoons{}{...
...leftharpoons{}{}\mathrm{M}^{-}+\mathrm{H}^{+}\quad. \end{array}\end{displaymath} (5.16)

M denotes the insulator material, for instance, $ SiO_{2}$. The first reaction tends to charge the oxide surface positively, while the second reaction tends to charge the insulator surface negatively. The final charge density on the insulator's surface is defined by the number of initial bonding sites (also known as amphoteric sites), and by the local density of hydrogen ions. The chemical reactions can be translated via the law of mass action into the following relations:

\begin{displaymath}\begin{array}{ccc} K_{a}&=&\frac{\left[\mathrm{M-OH}\right] \...
...hrm{H}^{+}\right]}{\left[\mathrm{M-OH}\right]}\quad.\end{array}\end{displaymath} (5.17)

Calculating the surface charge from (5.17) one has to take care not to proceed with the bulk hydrogen concentrations. Since the surface potential is different from the bulk potential and the chemical reactions also take place directly at the surface, the ionic charge population of hydrogen at the surface is expected to be different from the bulk hydrogen concentration as well. Therefore, the activity of hydrogen should be used rather than the bulk hydrogen concentration. If the only affecting forces are of electrostatic nature, the activity of hydrogen can be formulated like in (5.15) and can be expressed for the positive hydrogen ions as:

$\displaystyle \left[a_{\mathrm{H}^{+}}\right]=\left[\mathrm{H}^{+}\right]_{b} e^{-{\frac{q \psi_{0}}{k_{B}T}}}\quad.\\ $ (5.18)

Substituting (5.18) into (5.17) facilitates the connection between the surface potential of the electrolyte and the charge density aggregated on the insulator's surface by the chemical reactions. The total surface charge density is given by:

$\displaystyle \sigma_{\mathrm{Ox}}=q \left( \left[\mathrm{MH}_{2}^{+}\right]-\left[\mathrm{M}^{-}\right]\right)\quad,$ (5.19)

while the total binding site density is give via

$\displaystyle N_{s}=\left( \left[\mathrm{MH}_{2}^{+}\right]+\left[\mathrm{M-OH}\right]+\left[\mathrm{M}^{-}\right]\right)\quad.$ (5.20)

Joining (5.17)-(5.20), the surface charge density due to the chemical reaction can be written as:

$\displaystyle \sigma_{\mathrm{Ox}}=q N_{s}\,\frac{\frac{\left[\mathrm{H}^{+}\ri...
...left[\mathrm{H}^{+}\right]_{b}}\,e^{\frac{q \psi_{0}}{q k_{\text{B}} T}}}\quad.$ (5.21)

Some parameter sets for the site-binding model are presented in Table 5.1 for several common materials. Fig. 5.4 shows the relation between the surface charge density and the surface potential for different gate dielectrica as described by (5.26). The maximum amount of surface charge is directly proportional to the number of surface sites per unit area and the steepness and width of the two appearing steps is related to the difference between the reaction rates $ pK_{a}$ and $ pK_{b}$. That this charge accumulation at the surface will influence the charge distribution of the double layer and in the underlying semiconductor, due to the long range character of the electrostatic forces. The overall charge neutrality has to be guaranteed by:

$\displaystyle \sigma_{\mathrm{Ox}}+\sigma_{0}+\sigma_{\mathrm{s}}=0\quad,$ (5.22)

where $ \sigma_{\mathrm{Ox}}$ denotes the charge density per unit area from the site-binding model, $ \sigma _{0}$ the charge density per unit area in the electrolytic double layer, and $ \sigma_{\mathrm{s}}$ the charge density per unit area in the semiconductor. Adding (5.17) and (5.18) to the system of equations ((5.11) and (5.14)) the description is able to cover chemical reactions at the insulators surface. However, the aggregation of charge at the oxide surface can impose serious problems to the design of biosensors. At the same time, it can be exploited to facilitate very efficient pH sensors[199].

One may have wondered, why the hydrogen distribution is considered via the Boltzmann type terms at the interface within the site-binding region, while outside the OHP in the electric double layer the charge distribution of the salt ions is taken into account and the hydrogen distribution is neglected. This apparent contradiction can be resolved as follows: At the oxide surface the hydrogen concentration has a strong influence on the equilibrium constants for the reactions (5.17), while the hydrogen diffusive layer is much smaller than the ion diffusive layer. In a relatively dilute solution containing $ 1\,\mathrm{mM}$ of $ N\!aCl$, the salt is completely dissolved into $ 1\,\mathrm{mM}$ $ Na^{+}$ and $ 1\,\mathrm{mM}$ $ Cl^{-}$. Assuming a pH of $ 7$, the hydrogen concentration in the electrolyte will be about $ 100\,\mathrm{nM}$. This shows that the concentration difference between the hydrogen and the sodium is four orders of magnitude. Therefore, the hydrogen diffusive double layer has a negligible influence on the potential in the Gouy-Chapman layer compared to the site-binding region of the electrolyte.


Table: Parameters for the site-binding model commonly used for sensing
( $ pK_{i}=-\log_{10}\left(K_{i}\right)$ analog to the definition of $ pH=-\log_{10}\left(\left[\mathrm{H}^{+}\right]\right)$).
Oxide $ pK_{a}$ $ pK_{b}$ $ \ N_{s}\ [cm^{-2}]$ Reference
$ \rm {SiO_{2}}$ $ -2$ $ 6$ $ 5 \ \cdot 10^{14}$ [197]
$ \rm {Si_{3}N_{4}}$ $ -8.1$ $ 6.2$ $ 5 \ \cdot 10^{14}$ [1]
$ \rm {Al_{2}O_{3}}$ $ 6$ $ 10$ $ 8 \ \cdot10^{14}$ [197]
$ \rm {Ta_{2}O_{5}}$ $ 2$ $ 4$ $ 1 \ \cdot 10^{15}$ [200]
Gold surface $ 4.5$ $ 4.5$ $ 1 \ \cdot 10^{18}$ [201]

Figure 5.4: As illustrated in the panels a.) to d.), the higher the surface site density $ N_{s}$ is the bigger the maximal surface charge density $ \sigma _{0}$ will be. All curves show two distinct steps in the relation between surface charge density $ \sigma _{0}$ and surface potential $ \psi _{0}$. The larger the difference between the forward positively charging reaction rate $ K_{a}$ and the negatively charging reaction rate $ K_{b}$ the more pronounced and steeper are these steps.
first half
second half



Footnotes

... reaction5.3
chemical forward- and back-reaction rates are equal

next up previous contents
Next: 5.7 Potential of an Up: 5. Modeling of Electrolytic Previous: 5.5 Ionic Activity

T. Windbacher: Engineering Gate Stacks for Field-Effect Transistors