Erasmus Langer
Siegfried Selberherr
Oskar Baumgartner
Markus Bina
Hajdin Ceric
Johann Cervenka
Raffaele Coppeta
Lado Filipovic
Lidija Filipovic
Wolfgang Gös
Klaus-Tibor Grasser
Hossein Karamitaheri
Hans Kosina
Hiwa Mahmoudi
Alexander Makarov
Mahdi Moradinasab
Mihail Nedjalkov
Neophytos Neophytou
Roberto Orio
Dmitry Osintsev
Mahdi Pourfath
Florian Rudolf
Franz Schanovsky
Anderson Singulani
Zlatan Stanojevic
Viktor Sverdlov
Stanislav Tyaginov
Michael Waltl
Josef Weinbub
Yannick Wimmer
Thomas Windbacher
Wolfhard Zisser

Hossein Karamitaheri
MSc
karamitaheri(!at)iue.tuwien.ac.at
Biography:
Hossein Karamitaheri was born in Kashan, Iran, in 1983. He studied electrical engineering at the University of Kashan, Iran, and received his MSc degree in microelectronic devices from the Sharif University of Technology in 2008. He joined the Institute for Microelectronics in 2011, where he is currently working on his doctoral degree. His current scientific interests include the simulation of thermal transport in nano-structures.

Ballistic Thermal Conductance of Silicon-Based Nanostructures

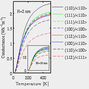
Low dimensional Si materials, such as nanowires and ultra-thin layers, have demonstrated record low thermal conductivities of 1-2W/mK, reaching the amorphous limit. With regard to thermoelectric properties, this has resulted in values of the ZT figure of merit close to ZT~0.5, which is a large improvement compared to ZT=0.01 of bulk Si. Although the two orders of magnitude reduction in the thermal conductivity is attributed to boundary scattering, an additional reduction can be achieved from changes in the phonon mode structure due to geometrical confinement. Thus, we investigate the effect of confinement and orientation on the phonon transport properties of silicon-based nanostructures for various surface and transport orientations. We compute the density of states, the transmission function, the sound velocity, and the ballistic thermal conductance of ultra-narrow silicon nanowires of side sizes in the range of 1-10nm. The lattice dynamics is modeled by the modified valence force field method, whereas the ballistic thermal conductance is calculated using the Landauer transport formalism. We find that the phononic dispersion and the ballistic thermal conductance are functions of the geometrical features of the structures, i.e. the transport and confinement orientations, and the confinement dimension. The phonon group velocity and thermal conductance can vary by a factor of two, depending on the geometrical features of the channel. The <110> nanowire has the highest group velocity and thermal conductance, whereas the <111> has the lowest. The <111> channel is thus the most suitable orientation for thermoelectric devices based on Si nanowires. We also consider thin layers of major surface orientations {100}, {110}, {111}, and {112}. For every surface orientation, we vary the transport directions within the corresponding surface plane. We find that the ballistic thermal conductance in the thin layers is anisotropic, with the {110}/<110> channels exhibiting the highest and the {112}/<111> channels the lowest thermal conductance, with a ratio of about two, as shown in figure 1. We find that in the case of the {110} and {112} surfaces, different transport orientations within these surfaces can result in nearly 50% anisotropy in thermal conductance. The thermal conductance of different transport orientations in the {100} and {111} layers, on the other hand, is mostly isotropic. These observations are invariant under different temperatures and layer thicknesses. Our findings can be applied in the thermal transport design of silicon-based devices for thermoelectric and thermal management applications.


Figure 1. The thermal conductance of thin-layers of 2nm thickness for various surface and transport orientations, as a function of temperature. The transport orientations are the ones that result in the highest (solid) and lowest (dashed) thermal conductance for the respective surface. Inset: The same quantity for thin-layers of H=16nm.


Home | Activities | Staff | Publications | Sponsors | Music | Contact Us