Erasmus Langer
Siegfried Selberherr
Oskar Baumgartner
Markus Bina
Hajdin Ceric
Johann Cervenka
Raffaele Coppeta
Lado Filipovic
Lidija Filipovic
Wolfgang Gös
Klaus-Tibor Grasser
Hossein Karamitaheri
Hans Kosina
Hiwa Mahmoudi
Alexander Makarov
Mahdi Moradinasab
Mihail Nedjalkov
Neophytos Neophytou
Roberto Orio
Dmitry Osintsev
Mahdi Pourfath
Florian Rudolf
Franz Schanovsky
Anderson Singulani
Zlatan Stanojevic
Viktor Sverdlov
Stanislav Tyaginov
Michael Waltl
Josef Weinbub
Yannick Wimmer
Thomas Windbacher
Wolfhard Zisser

Dmitry Osintsev
MSc
osintsev(!at)iue.tuwien.ac.at
Biography:
Dmitry Osintsev was born in Volgograd, Russia in 1986. He studied computer science in Volgograd State Technical University, where he received the BSc degree in June 2007 and the MSc degree in June 2009. His current research interests are the ballistic regime of spin-polarized field-effect transistors.

Influence of Surface Roughness Scattering on Spin Lifetime in Silicon

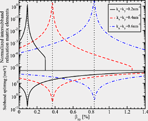
Silicon is an ideal material for spintronic applications due to its long spin lifetime, however, considerable spin relaxation in gated silicon structures was experimentally observed. Surface roughness scattering determines the transport in the channel at high carrier concentrations in thin silicon films. We investigate the spin relaxation due to surface roughness. We present an analytical approach to analyze the surface roughness dominated spin relaxation in thin body silicon-on-insulator-based MOSFETs. To find the corresponding matrix elements for spin relaxation we use the effective k·p Hamiltonian for the two relevant valleys along the OZ-axis with the spin degree of freedom included. The spin-orbit interaction couples the opposite spins from the opposite valleys. By applying a corresponding unitary transformation this coupling is effectively suppressed. The transformed Hamiltonian describes the Kramers degenerate states pair with opposite spin directions. For each pair, the Hamiltonian is similar to the two-band k·p Hamiltonian for the conduction band written in the vicinity of the X point of the Brillouin zone. For the two-band k·p Hamiltonian the subband energies and wave functions are precisely determined, provided the confinement potential is an infinite square well. The surface roughness scattering matrix elements are proportional to the square of the product of the subband wave function derivatives at the interface. To evaluate the electron spin relaxation due to spin-flip events we evaluate the matrix elements by using the wave functions with the opposite spin projections. Normalized spin relaxation matrix elements display sharp peaks at the strain values where the intersubband splitting is reduced. These minima determine the positions of the narrow hot spots (figure 1) characterized by strong spin relaxation. Figure 2 shows the dependence of the spin lifetime on temperature in an unstrained film. As the temperature increases, the Fermi distribution becomes smoother around the Fermi energy. Therefore, the number of hot spots responsible for spin relaxation also increases. This leads to a shorter spin lifetime at elevated temperatures.


Figure 1. Normalized intersubband relaxation matrix elements and subband splitting as a function of shear strain for different values of the wave vectors.



Figure 2. Dependence of the spin lifetime on temperature for different values of the electron concentration in unstrained film.


Home | Activities | Staff | Publications | Sponsors | Music | Contact Us