6.2 Standard Model of Kirton and Uren

Since the McWhorter model suffers from a weak temperature dependence of τcap,h  and small time constants, Kirton and Uren [56] incorporated field-independent barriers ΔEb  in the cross sections σSnRH  and σSnRH  (see Section 2.5). The ‘ad hoc’ introduction of these barriers has been motivated by the theory of nonradiative multi-phonon transitions (NMP) process [115]. However, Kirton and Uren have not provided a detailed theoretical derivation based on this NMP theory. Nevertheless, their work is regarded as a substantial improvement in the interpretation of charge trapping at semiconductor-oxide interfaces and thus also referred to as the standard model throughout this thesis. In an extended version of the McWhorter model, the holes can also be captured by traps with an energy below the substrate valence band. As illustrated in Fig. 2.5 of Section 2.5.2, the required barriers consist of two components, namely ΔEb  and |ΔEt | . The latter is the required minimum energy for a hole capture process while ΔEb  is the barrier component which must be overcome for hole capture as well as emission. In this variant, the capture and emission time constants read

                (    )               {
τ     = τSRH exp  -xt-  exp(βΔE  ) Nv-  1,                       Et > Ev ,           (6.3)
 cap,h     p,0       xp,0          b   p   exp(- βΔEt ) exp(βq0Foxxt), Et < Ev
                 (    )           {
 τem,h  = τSp,R0H exp   xt-- exp(βΔEb )  exp (βΔEt ) exp(- βq0Foxxt),     Et > Ev ,          (6.4)
                   xp,0              1,                           Et < Ev
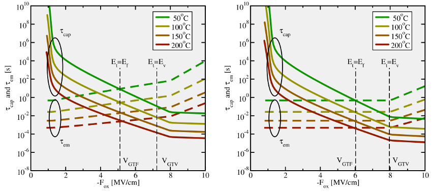
where the traps are not restricted to lie within the bandgap. Its behavior with respect to the temperature and the oxide field is illustrated in Fig. 6.1 and evaluated based on the TDDS checklist in Table 6.1. When the trap level lies below the valence band edge (Et < Ev  ), τcap,h  shows an exponential field dependence, which is superimposed by a sharp peak due to a drop of the hole concentration at weak oxide fields. Comparing the model to the experimental TDDS data (see Section 1.3.4), this exponential behavior allows for reasonable and approximative fits to τcap,h  but it is incompatible with the observed curvature in τcap,h  . Furthermore, the model predicts τem,h  to be field insensitive for Et < Ef  according to the equations (6.4). It should be mentioned at this point that the derivation of the analytical expression (6.3) and (6.4) is based on Boltzmann statistics, leading to small deviations in τcap,h  and τem,h  compared to the simulations of Fig. 6.1 (left) using Fermi-Dirac statistics. The weak field dependence of the simulated τem,h  reasonably agrees with the behavior of ‘normal’ (constant emission times) but is inconsistent with as well as ‘anomalous’ traps (a drop at weak oxide fields). Nevertheless, Fig. 6.1 reveals that the introduction of ΔEb  yields the required temperature activation and larger time constants in agreement with the points (ii) and (v) of the TDDS findings.


PIC

Figure 6.1: The simulated time capture and emission times according to the standard model of Kirton et al.  [56] using Fermi-Dirac (left) and Boltzmann (right) statistics. The τcap,h  are plotted as solid lines, while the τem,h  are depicted by dashed lines. The vertical dashed lines mark the values of Fox  or VG  when the trap level Et  passes either the Fermi level or the valence band edge in the substrate, respectively. Equation (6.4), which is based on Boltzmann statistics, predicts that τem,h  remains constant in the region Et < Ev  as shown in the right figure. Using more accurate Fermi-Dirac statistics the emission time constants are subject to a weak field dependence (cf. left figure). On the logarithmic scale, the τcap,h  follow a linear behavior in Fox  over a wide range but do not have the same curvature as present in the TDDS data. The τem,h  show neither a plateau nor a drop towards weak fields. Compared to the McWhorter model, τcap,h  and τem,h  exhibit a clear temperature activation over the whole range of oxide fields so that their values are moved to larger time scales relevant for NBTI.


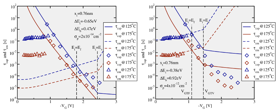
A fit of the Kirton model to the experimental TDDS data is presented in Fig. 6.2. Although the model can reproduce some features seen in the TDDS data, except for the curvature in τcap  , no reasonable agreement with the measurement data could be achieved. This discrepancy can be explained as follows: The exponential bias dependence extends up to a voltage VGTV  at which Et  coincides with Ev  . In Fig. 6.2 (left) VGTV  is approximately 2.5V  so that τcap,h  shows an exponential bias dependence up to this value and becomes constant afterwards. Therefore, Et  must be chosen such that VGTV  lies above the voltage range used in the measurements. This is only the case for defects whose trap levels Et  are situated sufficiently low. Note that those defects are also characterized by a large VGTF  , which marks the voltage where Et  coincides with Ef  . After equation (2.66), their τcap,h  must equal their τem,h  at VGTF  , visible as the crossings between τcap,h  and τem,h  in Fig. 6.2. At a low gate bias, their trap levels are moved far below Ef  so that their emission times fall several orders of magnitude below their corresponding capture time constants. The large difference between τcap,h  and τem,h  predicted by the Kirton model is inconsistent with the experimental TDDS data. Additionally, a fit of the Kirton model to τem,h  is presented in Fig. 6.1 (right). It clearly shows that the simulated τcap,h  fails to reproduce the experimentally obtained τem  when a good match with τem,h  is achieved.


PIC

Figure 6.2: A fit of the Kirton model to the TDDS data. The symbols stand for the measurement data and the lines represent the simulated time constants. When the Kirton model is optimized to the hole capture times τcap,h  (left), reasonable fits can be achieved for them but τem,h  is predicted three orders of magnitudes too low. Alternatively, a good agreement (right) can be obtained for the hole emission times τem,h  but with a strong mismatch of the capture times τcap,h  for VG > VGTV  . From this it is concluded that the Kirton model is not capable of fitting τcap,h  and τem,h  at the same time.



PIC
Table 6.1: Checklist for a TDDS defect. The individual criteria stem from the TDDS data addressed in Section 1.3.4. The McWhorter as well as the Kirton model do not fulfill all criteria and thus do not describe the defects seen in TDDS experiments.