next up previous contents
Next: 4.4 Summary Up: 4. Device Simulation and Previous: 4.2 Parameter Modeling

Subsections



4.3 Carrier Energy Distribution Function

The carrier energy distribution function gives important information on the state of carriers in semiconductor devices. The detailed knowledge of the distribution allows an accurate estimation of the carrier mobility, the impact-ionization rates, and of other carrier energy dependent issues. As already pointed out earlier in this chapter, the carrier distribution function is described by the semi-classical BTE [123,15].

The average carrier energy, commonly expressed through the carrier temperature, is available in energy-transport/hydrodynamic transport models [131,132]. The carrier temperature is solved as an independent quantity, where the heated Maxwellian distribution function is used for the formulation of the closure relation.


4.3.1 Carrier Temperature Estimation in the Drift-Diffusion Model

In the drift-diffusion framework the distribution function is assumed to be a cold Maxwellian distribution and the carriers are per definition in thermal equilibrium, meaning that the carrier temperature ($ T_\nu$ ) equals the lattice temperature ( $ T_{\mathrm{L}}$ ). There is no information on the distribution function available. However, to estimate the carrier temperature $ T_\nu,$ the local energy balance equation in the stationary, homogenous case in bulk is often used. With $ \nu=n$ for electrons and $ \nu=p$ for holes, the estimation reads [15,177]

$\displaystyle T_\nu = T_{\mathrm{L}}+ \frac{2}{3} \frac{\ensuremath{\mathrm{q}}...
...{k_B}}} \tau_{\ensuremath{\mathcal{E}},\nu} \mu_\nu \ensuremath{\mathbf{E}}^2 .$ (4.19)

$ \tau_{\ensuremath{\mathcal{E}},\nu}$ represents the energy relaxation time for the carrier type $ \nu.$ In the derivation of (4.19) it was assumed that the carrier transport is field dominated and the velocity $ \ensuremath{\mathbf{v}}_\nu$ was modeled considering only the drift component

$\displaystyle \ensuremath{\mathbf{v}}_\nu = s_\nu \mu_\nu \ensuremath{\mathbf{E}}.$ (4.20)

$ s_\nu$ is $ -1$ for electrons and $ +1$ for holes and the mobility can be estimated using a high-field mobility model as described in Section 4.2.1. The energy relaxation time is often assumed to be constant, with typical values $ \tau_{\ensuremath{\mathcal{E}},n} = 0.35 $ ps [177] and $ \tau_{\ensuremath{\mathcal{E}},p} = 0.4 $ ps [178]. However, in this work the energy relaxation time has also been used as a fitting parameter. Putting all this together (4.19) can be used to estimate the mean carrier temperature in the drift-diffusion model. A comparison of those calculations with data from homogenous Monte Carlo simulations is shown in Fig. 4.9. For fields of up to $ 600 $ kV/cm, good results are obtained.

Figure 4.9: Carrier temperature dependence on the electric field for different doping concentrations. The temperature is modeled using the approximation (4.19) including the $ \mu ^{\mathrm {LISF}}$ -mobility model from (4.14). The quadratic and linear approximations using constant mobility are also shown. Monte Carlo data is used as the reference.
\includegraphics[width=0.51\textwidth]{figures/carriertempfit_n_1e16.eps}
(a) Electron Temperature, $ \ensuremath{N_{\mathrm{D}}}=10^{16}$

\includegraphics[width=0.51\textwidth]{figures/carriertempfit_n_1e20.eps}
(b) Electron Temperature, $ \ensuremath{N_{\mathrm{D}}}=10^{20}$

\includegraphics[width=0.51\textwidth]{figures/carriertempfit_p_1e16.eps}
(c) Hole Temperature, $ \ensuremath{N_{\mathrm{A}}}=10^{16}$

\includegraphics[width=0.51\textwidth]{figures/carriertempfit_p_1e20.eps}
(d) Hole Temperature, $ \ensuremath{N_{\mathrm{A}}}=10^{20}$

It is possible to perform further simplifications on (4.19): For moderate fields, the mobility can be assumed as constant, which leads to $ T_\nu \propto E^2.$ For increasing fields the carrier velocity approaches the saturation velocity $ \ensuremath{v^\mathrm{sat}}_\nu$ and the mobility can be estimated as

$\displaystyle \mu_\nu = \frac{\ensuremath{v^\mathrm{sat}}_\nu}{E} .$ (4.21)

Using this relation, the carrier temperature for high fields gives [177]

$\displaystyle T_\nu = T_{\mathrm{L}}+ \frac{2}{3} \frac{\ensuremath{\mathrm{q}}...
...rm{k_B}}} \tau_{\ensuremath{\mathcal{E}},\nu} \ensuremath{v^\mathrm{sat}}_\nu E$ (4.22)

meaning that for high fields, the proportionality between the carrier temperature and the electric field becomes approximately linear. This estimation has also been introduced in Fig. 4.9. It can be seen, that the carrier temperature estimation using the two equations (4.19) and (4.22) with constant mobility, constant energy relaxation time, and constant saturation velocity give reasonable results for electric fields of up to $ >400\ensuremath{ {\mathrm{kV/cm}}}.$ For even higher fields the energy relaxation decreases due to optical phonon scattering which has to be considered for reasonable results.

In two- or three-dimensional simulations, one has to consider that the perpendicular component of the electric field on the current flow has no impact on the carrier energy. The electric field in (4.19) is therefore often replaced by the electric field projected in the direction of the current density, $ \ensuremath{\mathbf{E}}\rightarrow \ensuremath{\mathbf{E}}\cdot \ensuremath{\mathbf{J}}/ J.$ In Fig. 4.10 this method is applied on a simple planar MOS transistor and compared to results from a hydrodynamic simulation.

Figure 4.10: The electron temperature distribution in a planar n-MOS transistor with a channel length of $ 1 $ µm. The Drain is set to $ 4 $ V, the Gate to $ 1.2 $ V, the Source and Bulk contacts are grounded. Since the device is rather large the non-local effects are not very pronounced and a reasonable result can be obtained using the drift-diffusion simulation, although the differences are evident.
\includegraphics[width=0.49\textwidth, clip]{figures/ctm_dd_}
(a) Drift-Diffusion

\includegraphics[width=0.49\textwidth, clip]{figures/ctm_hd_}
(b) Hydrodynamic

A more detailed comparison with Monte Carlo data along the channel of an $ 0.5 $ µm n-MOS device is shown in Fig. 4.11.

Figure 4.11: Monte Carlo and drift-diffusion simulation results of the electron temperature along the channel of an n-MOS transistor (see Fig. 6.5) at a gate voltage of $ V_{\mathrm {GS}} = 2.0$ V and a drain voltage of $ V_{\mathrm {DS}} = 6.25$ V.
\includegraphics[width=0.6\textwidth, clip]{figures/carriertemp_device.eps}

In Fig. 4.9 one can see, that the carrier temperature already doubles at electric fields which are in the order of $ 10 $ kV/cm. Considering that fields in devices can reach up to $ 1 $ MV/cm, it is clear that the deviation from the assumption of equal carrier and lattice temperature has to be taken into account for hot-carrier reliability considerations as will be discussed in Chapter 6.

4.3.1.1 Non-Local Estimations

Sofar only the local electric field was used to model the carrier temperature. However, carriers do not gain or loose the energy as fast as the electric field changes. This non-local behavior is especially relevant for rapidly changing electric fields (see Fig. 4.5 f:dm.velocity_overshoot). The electric field is the only quantity in drift-diffusion simulations that can be used to estimate the carrier temperature. Approaches have been suggested to estimate this non-local behavior using the electric field. In the approach by Slotboom et al. [179], the temperature along a one-dimensional path is derived from a simplified, stationary one-dimensional energy balance equation, which reads

$\displaystyle T_\nu(x) = T_{\mathrm{L}}+ \frac{2}{5} \frac{\ensuremath{\mathrm{...
...^x E(u) \exp \left( \frac{u-x}{\lambda_{e}} \right) \ensuremath{ \mathrm{d}}u.$ (4.23)

The energy relaxation length $ \lambda_e$ is given by $ \lambda_e = \frac{5}{3} v
\tau_e$ and is assumed to be constant. Experimental estimates of $ \lambda_e$ are given in [179]. To solve this estimation in a two-dimensional device, drift-diffusion simulation results are used to extract current paths through the device and integration has to be performed along those paths. Even though good results have been found, a self consistent implementation for two- or three-dimensional device simulation has not been reported.


4.3.2 Distribution Function Approximations

The real distribution function in a MOS transistor in a down-scaled technology node under operation conditions varies strongly along the channel and commonly differs from the Maxwellian shape. Targeting on hot-carrier reliability considerations, especially the high-energy tail which describes the hot-carrier population is of major importance. This section examines only the electron distributions and the approximations are based on the electron temperature, although the shape of the distribution function can vary strongly for the same temperatures (compare Fig. 4.2 f:dm.nonlocal). It is also important to consider that a change in the hot-electron population of an order of a magnitude usually hardly changes the mean temperature of the total electron population but strongly influences hot-carrier effects like the impact-ionization rate (see Chapter 6). The hot-electron tail is not captured at all in the cold Maxwellian distribution,

$\displaystyle f(\ensuremath{\mathcal{E}}) = A \exp \left( - \frac{\ensuremath{\mathcal{E}}}{\ensuremath{\mathrm{k_B}}T_{\mathrm{L}}} \right) ,$ (4.24)

and commonly dramatically overestimated in the heated Maxwellian distribution

$\displaystyle f(\ensuremath{\mathcal{E}}) = A \exp \left( - \frac{\ensuremath{\mathcal{E}}}{\ensuremath{\mathrm{k_B}}T_n} \right) ,$ (4.25)

as can be seen in Fig. 4.12.

Figure 4.12: Normalized approximations of the electron distribution functions are compared to Monte Carlo results. The calculation was performed at different positions at the interface using the n-MOS device from Fig. 6.5. The electron temperatures correspond to the values in Fig. 4.11.
\includegraphics[width=0.51\textwidth]{figures/dist_compare_600.eps}
(a) at position $ x=0.6 $ µm

\includegraphics[width=0.51\textwidth]{figures/dist_compare_900.eps}
(b) at position $ x=0.9 $ µm

\includegraphics[width=0.51\textwidth]{figures/dist_compare_1000.eps}
(c) at position $ x=1.0 $ µm

\includegraphics[width=0.51\textwidth]{figures/dist_compare_1100.eps}
(d) at position $ x=1.1 $ µm

A better approach to represent the high energy part of the distribution function was proposed by Cassi and Ricò as [180]

$\displaystyle f(\ensuremath{\mathcal{E}}) = A \exp \left( -\chi \frac{\ensuremath{\mathcal{E}}^3}{T^{1.5}_n} \right) ,$ (4.26)

with $ A$ and $ \chi$ being constant parameters. This distribution gives especially for high fields, where drift dominates over diffusion, a much better agreement to Monte Carlo results than the cold or heated Maxwellian distributions. However, the inflexible shape of the function totally fails in regions of thermodynamic equilibrium as shown in Fig. 4.12(a). This method was further extended by Concannon et al. [181] to explicitly represent the high energy tail:

$\displaystyle f(\ensuremath{\mathcal{E}}) = A \left[ \exp \left( - \frac{\chi_a...
...p \left(- \frac{\chi_b \ensuremath{\mathcal{E}}^3}{T^{1.5}_n} \right) \right] .$ (4.27)

$ A,$ $ C_0,$ $ \chi_a,$ and $ \chi_b$ are constant fit values. This approach was used in particular to model impact-ionization and it was reported that simulated terminal currents in MOSFET devices showed good agreements with measurement data.

Another approach was given by Grasser et al. [182] who proposed to use the electron distribution function

$\displaystyle f(\ensuremath{\mathcal{E}}) = A \exp \left[ - \left( \frac{\ensuremath{\mathcal{E}}}{\ensuremath{\mathcal{E}}_\mathrm{ref}} \right) ^b \right] .$ (4.28)

$ \ensuremath{\mathcal{E}}_\mathrm{ref}$ and $ b$ depend on the local electron temperature and the kurtosis. Using an estimation for the kurtosis and assuming a parabolic band structure, $ \ensuremath{\mathcal{E}}_\mathrm{ref}$ can be evaluated as

$\displaystyle \ensuremath{\mathcal{E}}_\mathrm{ref}= \ensuremath{\mathrm{k_B}}T...
...Gamma\left(\frac{3}{2b}\right)}{\displaystyle \Gamma\left(\frac{5}{2b}\right)},$ (4.29)

where the Gamma function is

$\displaystyle \Gamma(x) = \int_0^\infty \exp(-\alpha) \alpha^{x-1} \ensuremath{ \mathrm{d}}\alpha .$ (4.30)

The parameter $ b$ can be expressed using the polynomial approximation [183]

$\displaystyle b(T_n) = 1 + b_0 \left( 1 - \frac{T_{\mathrm{L}}}{T_n} \right) ^{b_1} + b_2 \left( 1 - \frac{T_{\mathrm{L}}}{T_n} \right) ^ {b_3} ,$ (4.31)

using the constants $ b_0=38.82,$ $ b_1=101.11,$ $ b_2=3.40,$ and $ b_3=12.93.$ In Fig. 4.12 this approach is shown beside the other approximations presented here.

A special variation of the last representation has been used in the attempt to simulate hot-carrier degradation in the drift-diffusion framework as described in Section 6.4.1. Here the exponent $ b$ in (4.28) has been empirically set to $ 3.0$ and $ \ensuremath{\mathcal{E}}_\mathrm{ref}$ has still been evaluated using (4.29). As described in the referred section, this approximation delivers in the given sample the best agreement to the Monte Carlo results.

Comparing the different approximations, one has to distinguish the specific conditions along the MOS channel area. At the position $ 0.6 $ µm (Fig. 4.12(a)) the carriers have not been accelerated yet and are in thermodynamic equilibrium. As can be seen in Fig. 4.11, the electron temperature of the drift-diffusion solution matches the lattice temperature at $ T_n=T_{\mathrm{L}}=300K.$ Only the distribution function model by Cassi cannot reproduce the result due to the fixed parameters in (4.26). At $ 0.9 $ µm (Fig. 4.12(b)) and $ 1.0 $ µm (Fig. 4.12(c)) it is obvious, that the cold Maxwellian distribution does not reproduce the electron distribution at all and the heated Maxwellian distribution only approximates the Monte Carlo results at low energies. Any conclusion on high energy processes would clearly lead to overestimations. The approaches by Cassi and Grasser at least catch the trend of the Monte Carlo results. In this example, the Grasser approach also captures the trend of the growing high energy tail at $ 1.0 $ µm. This is true for a constant and a calculated $ b$ value. Finally, at the position $ 1.1 $ µm (Fig. 4.12(d)) the shortcoming of the drift-diffusion equations becomes very clear. The field and therefore the electron temperature has already dropped, but there exists a high energy population of carriers, which still can strongly influence high energy processes. The distribution by Cassi does not catch this tendency, the other distributions match the cold Maxwellian. This last condition, which is already in the highly doped drain area of this transistor, cannot be described at all using the drift-diffusion framework.

4.3.2.1 Advanced Modeling

All estimates of the distribution function which are solely based on the electric field and/or the mean carrier temperature, can only lead to good results in special applications. One approach to overcome this is to handle two different carrier populations, one for hot and one for cold carriers [184]. For this, transport equations have to be solved for both populations and rate equations for carrier interchange between both populations.

The probably best macroscopic approach to capture the high-energy tail correctly all over the device is to apply higher order moment transport equations with at least six moments [134] of the BTE. In the six moments model additionally to the mean carrier temperatures $ T_\nu$ the kurtosis $ \beta_\nu$ is available which quantifies the deviation of the distribution function from the Maxwellian shape. Grasser et al. [134] made the following proposal, similar to the one from Sonoda et al. [185],

$\displaystyle f(\ensuremath{\mathcal{E}}) = A \left\{ \exp \left[ - \left( \fra...
...frac{\ensuremath{\mathcal{E}}}{\ensuremath{\mathrm{k_B}}T_2} \right] \right\} ,$ (4.32)

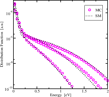
describing the hot and cold populations independently. The parameters $ A,$ $ T_\mathrm{ref},$ $ b,$ $ c$ and $ T_2$ can be calculated so that the even moments of the distribution function fit the six moments model [186]. An example on the good results are shown in Fig. 4.13 [187].

Figure 4.13: The Monte Carlo calculated electron distribution function at different positions in an n-MOS transistor with a channel length of $ 200 $ nm is compared to the analytical estimation from (4.32) (results taken from [187]). The distinct derivation from the Maxwellian distribution can be clearly seen.
\includegraphics[width=0.6\textwidth]{figures/df_sm}


next up previous contents
Next: 4.4 Summary Up: 4. Device Simulation and Previous: 4.2 Parameter Modeling

O. Triebl: Reliability Issues in High-Voltage Semiconductor Devices