Erasmus Langer
Siegfried Selberherr
Giulliano Aloise
Oskar Baumgartner
Markus Bina
Hajdin Ceric
Johann Cervenka
Lado Filipovic
Wolfgang Gös
Klaus-Tibor Grasser
Philipp Hehenberger
Hans Kosina
Alexander Makarov
Goran Milovanovic
Mihail Nedjalkov
Neophytos Neophytou
Roberto Orio
Dmitry Osintsev
Vassil Palankovski
Mahdi Pourfath
Karl Rupp
Franz Schanovsky
Zlatan Stanojevic
Ivan Starkov
Viktor Sverdlov
Stanislav Tyaginov
Stanislav Vitanov
Paul-Jürgen Wagner
Josef Weinbub

Dmitry Osintsev
MSc
osintsev(at!)iue.tuwien.ac.at
Biography:
Dmitry Osintsev was born in Volgograd, Russia in 1986. He studied computer science in Volgograd State Technical University, where he received the BSc degree in June 2007 and the MSc degree in June 2009. His current research interests are the ballistic regime of spin-polarized field-effect transistors.

Ballistic Spin Field-Effect Transistors Built on Silicon Fins

Utilizing spin properties of electrons for future microelectronic devices opens great opportunities to reduce device power consumption. In recent years spintronic devices, where the spin of the electron is used as an additional degree of freedom to tune the properties of a transistor, have received much attention. The Spin Field-Effect Transistor (SpinFET) is a future semiconductor spintronic device promising to achieve a performance superior to that achieved in the present transistor technology. SpinFETs are composed of two ferromagnetic contacts (source and drain), which sandwich the semiconductor region. Ferromagnetic contacts contain mostly spin-polarized electrons and play the role of polarizer and analyzer. The ferromagnetic source contact injects spin-polarized electrons to the semiconductor region. Due to the non-zero spin-orbit interaction, the electron spin precesses during propagation through the channel. At the drain contact only the electrons with spin aligned to the drain magnetization can leave the channel and contribute to the current. Current modulation is achieved by changing the strength of the spin-orbit interaction in the semiconductor region and thus the degree of the spin precession. Spin-orbit interaction can be controlled by applying an external gate voltage, which introduces structural inversion asymmetry.
Silicon has a weak spin-orbit interaction and long spin life time. It is therefore an attractive material for spin current propagation. However, because of its weak spin-orbit interaction, silicon was not considered as a candidate for the SpinFET channel material. Recently, however, investigations have shown that thin silicon films inside SiGe/Si/SiGe structures have large values of spin-orbit interaction. The stronger spin-orbit interaction leads to an increased spin relaxation. The D'yakonov-Perel' mechanism is the main spin relaxation mechanism in systems, where the electron dispersion curves for the two spin projections are non-degenerate. In quasi-one-dimensional electron structures, however, a suppression of this spin relaxation mechanism is expected. Indeed, in the case of elastic scattering, only back-scattering is allowed. Reversal of the electron momentum results in the inversion of the effective magnetic field direction. Therefore, the precession angle does not depend on the number of scattering events along the carrier trajectory in the channel, but is only a function of the channel length. Thus, the spin-independent elastic scattering does not result in additional spin decoherence. In the presence of an external magnetic field, however, spin-flip processes become possible, and the Elliott-Yafet spin relaxation mechanism is likely activated.


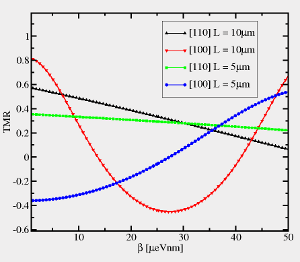
Tunneling magnetoresistance dependence on the value of the Dresselhaus spin-orbit interaction for a film thickness of 1.5nm.


Home | Activities | Staff | Publications | Sponsors | Music | Contact Us