Erasmus Langer
Siegfried Selberherr
 
Elaf Al-Ani
Tesfaye Ayalew
Hajdin Ceric
Martin Della-Mea 
Siddhartha Dhar
Robert Entner 
Andreas Gehring 
Klaus-Tibor Grasser 
René Heinzl 
Clemens Heitzinger
Christian Hollauer
Stefan Holzer
Andreas Hössinger 
Gerhard Karlowatz 
Robert Kosik 
Hans Kosina 
Alexandre Nentchev
Vassil Palankovski
Mahdi Pourfath 
Philipp Schwaha
Alireza Sheikoleslami 
Viktor Sverdlov 
Stephan Enzo Ungersböck 
Stephan Wagner 
Wilfried Wessner
Robert Wittmann 

 

   
 

Stefan Holzer
Dipl.-Ing.
holzer(!at)iue.tuwien.ac.at
Biography:
Stefan Holzer was born in Vienna, Austria, in 1976. He studied electrical engineering at the Technische Universität Wien, where he received the degree of Diplomingeneur in April 2002. He joined the Institute for Microelectronics in January 2003, where he is currently working on his doctoral degree. His scientific interests include optimizations and inverse modeling, software aspects of TCAD applications, and distributed computing.

Optimization and Inverse Modeling in TCAD Applications

Due to the increasing complexity of interconnects and devices in microelectronic structures, optimization problems in TCAD applications are steadily becoming more complex.

Thus, simulations and, therefore, optimizations become increasingly more time-consuming, especially if three-dimensional structures are considered. Since current workstations offer increased performance at steadily decreasing costs, they can be easily included as computational nodes in existing simulation and optimization clusters. This allows genetic optimization algorithms which are normally very time-consuming to be employed.

However, these new approaches require tools that are able to manage the available network resources efficiently and avoid inconsistencies and overloads of certain simulation nodes. Therefore, the integrated simulation and optimization framework SIESTA (Simulation Environment for Semiconductor Technology Analysis) has been developed at the Institute for Microelectronics. It integrates a global network resource management and a variety of optimizers and simulators to combine the advantages of optimization strategies like those of gradient-based and genetic optimizers. The software concept of SIESTA has been completely redesigned in order to improve and extend the interfaces to graphical user interfaces (GUIs), optimizers, and simulators. Thus, a loosely-coupled system was created with only minor restrictions for external software tools. Additionally, fault tolerance has been included in the interface structures to provide a stable operation.

With this variety of tools, the capabilities of the simulation framework SIESTA include investigations and optimizations of parameters for semiconductor process and device simulation. Furthermore, this framework allows inverse modeling of devices and technology processes, which is useful for the extraction of specific material and process parameters. The required information includes measured data and an appropriate base model which allows SIESTA to optimize the chosen parameters automatically. This technique has already produced excellent results in process and device optimizations.

Currently, thermal effects in polycrystalline semiconductors and multi-level interconnect structures are being investigated. The three-dimensional interconnect simulator STAP is used to predict critical temperatures in some parts of the semiconductor. At high temperatures, however, conventional models do not predict the change of the electrical behavior correctly. Therefore it is necessary to include advanced models in device simulators which are valid in these temperature ranges. SIESTA can be used to calibrate analytical models included in device and circuit simulators.

Additionally, new graphical user interfaces are developed to improve the usability of SIESTA. These tools enable the user to setup, control, and interact with SIESTA.

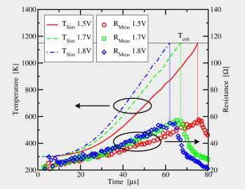
Extraction of the critical temperature of fusing structure.
The temperature is equal for different applied voltages



Internal temperature distribution in K at the
critical temperature at
approximately 65us and 1.7V

   
Home | Activities | Staff | Publications | Sponsors | Contact Us