Erasmus Langer
Siegfried Selberherr
 
Elaf Al-Ani
Tesfaye Ayalew
Hajdin Ceric
Martin Della-Mea 
Siddhartha Dhar
Robert Entner 
Andreas Gehring 
Klaus-Tibor Grasser 
René Heinzl 
Clemens Heitzinger
Christian Hollauer
Stefan Holzer
Andreas Hössinger 
Gerhard Karlowatz 
Robert Kosik 
Hans Kosina 
Alexandre Nentchev
Vassil Palankovski
Mahdi Pourfath 
Philipp Schwaha
Alireza Sheikoleslami 
Viktor Sverdlov 
Stephan Enzo Ungersböck 
Stephan Wagner 
Wilfried Wessner
Robert Wittmann 

 

   
 

Robert Kosik
Dipl.-Ing.

kosik(!at)iue.tuwien.ac.at

Biography:
Robert Kosik was born in Eisenstadt, Austria, in 1969. He studied technical mathematics at the Technische Universität Wien, where he received the degree of Diplomingenieur in 1996. After his civil service he joined the Institute for Microelectronics in October 1998, where he is currently working on his doctoral degree. His scientific interests include applied and numerical mathematics with a focus on computational electromagnetism.

The Numerics of Higher Order Moment Methods for Device Simulation

An accurate description of non-local effects is of utmost importance for modern semiconductor devices. In particular, the distribution function has to be modeled properly, as it is inherently linked with hot-carrier effects. In the framework of hydrodynamic and energy-transport models only the average energy is known. This does not provide enough information about the shape of the distribution function.

To overcome the limitations of the available energy-transport models, a consistent transport model based on six moments of Boltzmann's equation has been developed. In addition to the concentration and the carrier temperature, as provided by the energy-transport models, we obtain the average of the square of the energy, which we map to a new solution variable, the kurtosis of the distribution function.

Compared with the simple drift-diffusion model, higher order methods give stronger coupling between the device equations, as the physical models for mobility are functions of the local carrier temperature. The success and practical applicability of numerical simulation depends critically on the convergence rate as well as on the control of numerical instabilities arising from discretization errors.

The aim of our research is to increase the robustness of the solution algorithm for the six moments model. Higher order moment systems are complex nonlinear systems. A robust solution requires a lot of simulation experience and fine tuning of the nonlinear solver.

As a first step in the investigation, a proposed algorithm using a generalized Scharfetter Gummel scheme was implemented in one dimension. Correctness of the implementation has been checked by comparison with the analytical result known from the bulk case.

To find out the best highest order moment closure for the six moments model, a variety of approximations for the sixth moment were tested. Among them are a generalized Maxwellian closure with a free parameter c, a cumulant closure, a closure derived from the diffusion approximation and finally a closure from higher order statistics. Our results suggest that the generalized Maxwellian closure works best on practical examples. We obtain c by requiring consistency with bulk Monte Carlo simulations.

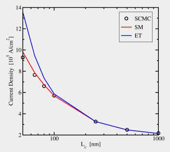
To investigate the accuracy of the six moments model and its corresponding energy transport model, we consider a series of one-dimensional n+ - n - n+ test structures with varying channel length. The figure shows the results of numerical solutions of six moments models and compares them to self-consistent Monte Carlo data (SCMC) and to results from an energy transport model. The energy transport models show the well-known overestimation of the device currents. The results of the six moments model, on the other hand, stay close to the SCMC results, which makes the six moments model a good choice for TCAD applications.

Comparison of the device currents obtained from the six-moments (SM) and the energy-transport (ET) models with the self-consistent Monte Carlo (SCMC) simulation for varying channel length
   
Home | Activities | Staff | Publications | Sponsors | Contact Us