Erasmus Langer
Siegfried Selberherr
Bindu Balakrishna
Oskar Baumgartner
Hajdin Ceric
Johann Cervenka
Otmar Ertl
Wolfgang Gös
Klaus-Tibor Grasser
Philipp Hehenberger
René Heinzl
Hans Kosina
Goran Milovanovic
Neophytos Neophytou
Roberto Orio
Vassil Palankovski
Mahdi Pourfath
Karl Rupp
Franz Schanovsky
Philipp Schwaha
Ivan Starkov
Franz Stimpfl
Viktor Sverdlov
Oliver Triebl
Stanislav Tyaginov
Martin-Thomas Vasicek
Stanislav Vitanov
Paul-Jürgen Wagner
Thomas Windbacher

Viktor Sverdlov
MSc PhD
sverdlov(!at)iue.tuwien.ac.at
Biography:
Viktor Sverdlov received his Master of Science and PhD degrees in physics from the State University of St.Petersburg, Russia, in 1985 and 1989, respectively. From 1989 to 1999 he worked as a staff research scientist at the V.A.Fock Institute of Physics, St.Petersburg State University. During this time, he visited ICTP (Italy, 1993), the University of Geneva (Switzerland, 1993-1994), the University of Oulu (Finland,1995), the Helsinki University of Technology (Finland, 1996, 1998), the Free University of Berlin (Germany, 1997), and NORDITA (Denmark, 1998). In 1999, he became a staff research scientist at the State University of New York at Stony Brook. He joined the Institute for Microelectronics, Technische Universität Wien, in 2004. His scientific interests include device simulations, computational physics, solid-state physics, and nanoelectronics.

Electron Subband Structure and Transport Enhancement in Strained Silicon Films and Surface Layers

Strain techniques are powerful tools used to enhance the performance of modern MOSFETs. Being relatively inexpensive and quite simple to incorporate in modern technological processes, strain allows to boost the drive current in both p- and nMOSFETs, a technique used by the semiconductor industry, since the 90nm technology node was introduced. Mobility and current enhancement is caused by a profound strain-induced modification of the silicon band structure. The valence band of silicon is well described by the six-band k·p Hamiltonian including strain.
With this approach, the mobility enhancement in pMOSFETs is well understood for both biaxial and uniaxial stress. Compressive uniaxial [110] stress, used in industry, lowers the wings of the subband dispersion relation with the favorable transport mass in the transport direction. This effect, combined with the stress-induced decrease on the density-of-states and scattering, guarantees a substantial mobility enhancement in pMOSFETs.
The role of uniaxial [110] strain on mobility enhancement in nMOSFETs was surprisingly not very well understood until recently. The reason is that the conduction band of silicon was usually approximated by the six equivalent valleys, with each valley dispersion described by the parabolic approximation. The effective masses were assumed to be constant independent of strain. Thus, stress was considered only to lift the degeneracy between the six valleys of the conduction band. Engineering stress in such a way so that the valleys with favorable transport effective masses shift down in energy and become more populated, guarantees enhancement of electron mobility. Although this description is correct for biaxial and also uniaxial in [001] direction stressed silicon, there is a number of indications that the model is not completely correct for [110] stressed silicon. The reason for the doubts was an observation made by K.Uchida of mobility enhancement in strained ultra-thin (001) silicon films, where the primed subbands were already depopulated due to the strong quantization, and any additional application of strain would not improve the situation. Thus, the dependence of the transport effective mass on strain is the only reason for the mobility to be enhanced by [110] uniaxial tensile stress.
The first experimental evidence that the effective masses of the [001] valleys depend linearly on [110] stress was reported long ago by Hensel. The reason for this dependence is the shear strain component generated by [110] stress. This component generates additional coupling between the two lowest conduction bands, which is quantitatively described by the two-band k·p Hamiltonian. It was demonstrated that this form of the k·p Hamiltonian is the only one compatible with the symmetry properties of the Brillouin zone at the X-point. We have Used the two-band k·p Hamiltonian to evaluate dependence of the effective masses, the valley shifts, and the band non-parabolicity parameter on shear strain in bulk silicon. These parameters were then used for the mobility enhancement calculations in the bulk.
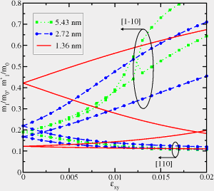
However, an accurate evaluation of the subband parameters based on the two-band k·p Hamiltonian in ultra-thin silicon films is still missing. The evaluation is critical for an accurate transport description in ultra-scaled thin body multi-gate MOSFETs, which are considered good candidates for the 22nm technology node and beyond. We use the two-band k·p model to obtain the subband structure parameters in a thin (001) silicon film. The confining potential is approximated by a square well potential with infinite potential walls. We discretize the Hamiltonian and obtain the subband solutions in a purely numerical way. The advantage of this approach is that it can be easily generalized to include the self-consistent potential. The effective masses and subband energies are calculated for the few lowest subbands. Figure 1 demonstrates strong dependence on shear strain and the film thickness of the subband effective masses. Strain-induced splitting between the unprimed subbands with the same quantum number is shown in figure 2. This additional large splitting is the key for the drive current enhancement in ballistic MOSFETs with (001) ultra-thin silicon body.


Figure 1: Effective masses of the two ground subbands. In ultra-thin films the effective masses of the two ground subbands are different even without strain.



Figure 2: Shear strain induced splitting of the ground subbands for several film thicknesses. In ultra-thin films splitting is larger than kT for moderate stress.


Home | Activities | Staff | Publications | Sponsors | Music | Contact Us