« PreviousUpNext »Contents
Previous: 1.2 Detrimental Effects in MOS Devices    Top: 1 Introduction    Next: 2 On the first Component: the Subthreshold Hysteresis

1.3 Methodology

To understand the impact of various trapping centers on the electrical performance and reliability of SiC devices, numerous parameters were extracted using sophisticated measurement techniques. A brief overview on the available experimental setup and on how these electrical parameters were extracted is given in this section.

1.3.1 Measurement system

Figure 1.11: Available instruments and measurement setup.

An overview on the available measurement equipment for all investigations in this thesis is given in Fig. 1.11. All measurements were performed using an Agilent B1500A parameter analyzer, which includes 4 high-resolution source-measurement units (SMUs) and one high-power SMU. All SMUs are connected to an Agilent E5250A switching matrix. For capacitance-voltage measurements an Agilent 4294A impedance analyzer was used, which is also connected to the switching matrix. An Oriel Instruments 66901 300 W xenon lamp in combination with an Oriel Instruments 74100 monochromator was used for measurements which require light at a specific wavelength (see Section 1.3.5). All measurements were performed within an Süss MicroTec probe station, where the temperature is controlled via an ATT Systems M200 temperature controller and an ATT Systems P40 cooling unit.

1.3.2 Layout considerations of SiC-power MOSFETs

Unlike in silicon power-MOSFETs, where the contribution of channel resistance (math image) to the total on-resistance (math image) is negligible, the contribution of (math image) to the total (math image) in SiC-MOSFETs is significant. Here up to approximately 50 % of the total on-resistance originates from the channel resistance due to the higher interface trap density and very low drift layer resistance. This results in the need for an increased die size, which consequently raises the chip costs due to the very expensive base material (\( \approx 1000\,\$ \) for a 150 mm wafer). Therefore, decreasing (math image) using different crystal-planes with higher mobility and shrinking the pitch size is of high importance for SiC based power-MOSFETs.

Figure 1.12: Schematic cross section of a typical DMOS power-MOSFET layout. Here, the inversion channel forms on the (0001)-crystal plane (Si-face) at the surface of the SiC semiconductor.

Figure 1.13: Schematic cross section of two typical power-MOSFET trench layouts on SiC. Here, the inversion channel forms either on the (\( 11\bar {2}0 \)) cyrstal plane (a-face, left) [71, 72], or on various crystal planes (right) [73].

Typical device layouts used in commercially available SiC power MOSFETs are given in Fig. 1.12 and Fig. 1.13. A typical DMOS design is shown in Fig. 1.12 with the inversion channel (red-arrows) forming on the (0001)-crystal plane (or Si-face). The trench designs (sketched in Fig. 1.13) enable a smaller pitch size, and furthermore take advantage of the higher mobility on the non-polar crystal planes along the \( c \)-axis of the 4H-SiC crystal [74]. However, these trench devices require a \( p^+ \) doped region to shield the insulator at the bottom of the trench from the high electric fields, which arise in the \( n^- \) doped epitaxial drift layer in the off-state of the device due to the high drain potential usually applied in power applications [71–73, 75].

As will be shown in Chapter 2, the number of fast interface states with a fully reversible charge state depends strongly on the crystal plane of the inversion layer, and therefore on the device layout.

1.3.3 Transfer Characteristics

The transfer characteristics (ID -VG s) represent the dependence of the drain current (math image) on the gate voltage (math image) at a fixed drain voltage (math image). Fig. 1.14 shows typical transfer characteristics of a SiC nMOSFET before (blue) and after a high temperature gate stress for several thousand seconds (shifted, green). The threshold voltage (math image), as a key parameter of a MOSFET, can be extracted from the ID -VG s in manifold ways [76–81]. In this work, (math image) is extracted using either a linear extrapolation (as indicated in Fig. 1.14), or (math image) is extracted via a defined readout current (e.g. 1 mA) at fixed drain voltage.

As already discussed in Section 1.2.1, a positive/negative bias stress results in a positive/negative threshold voltage shift (math image), respectively. Assuming a parallel shift of the transfer characteristics after bias stress, which is usually the case for SiC-nMOSFETs, (math image) is given by

(1.7) \{begin}{align} \label {FU:eq:dVth} \ac {dVth} = V_{\text {th}}^2 - V_{\text {th}}^1 \text {,} \{end}{align}

and the total number of charges trapped during the stress (math image) can be easily obtained from the shift of the threshold voltage via

(1.8) \{begin}{align} \label {FU:eq:dVsth} \ac {Nt} = \frac {\ac {dVth} \ac {Cox}}{\ac {q}} \{end}{align}

with the oxide capacitance (math image).

Figure 1.14: Transfer characteristic of a SiC-nMOSFET.

The transfer characteristics are furthermore used for the evaluation of the low-field mobility (math image) using the method of Ghibaudo [78]. He derived the linear function

(1.9) \{begin}{align} \label {FU:eq:ghibaudo} \frac {\ac {id}}{\sqrt {\ac {gm}}} = \sqrt {\frac {W \ac {Cox} \ac {mu0} \ac {vd}}{L}} (\ac
{Vthghibaudo}-\ac {Vth}) \{end}{align}

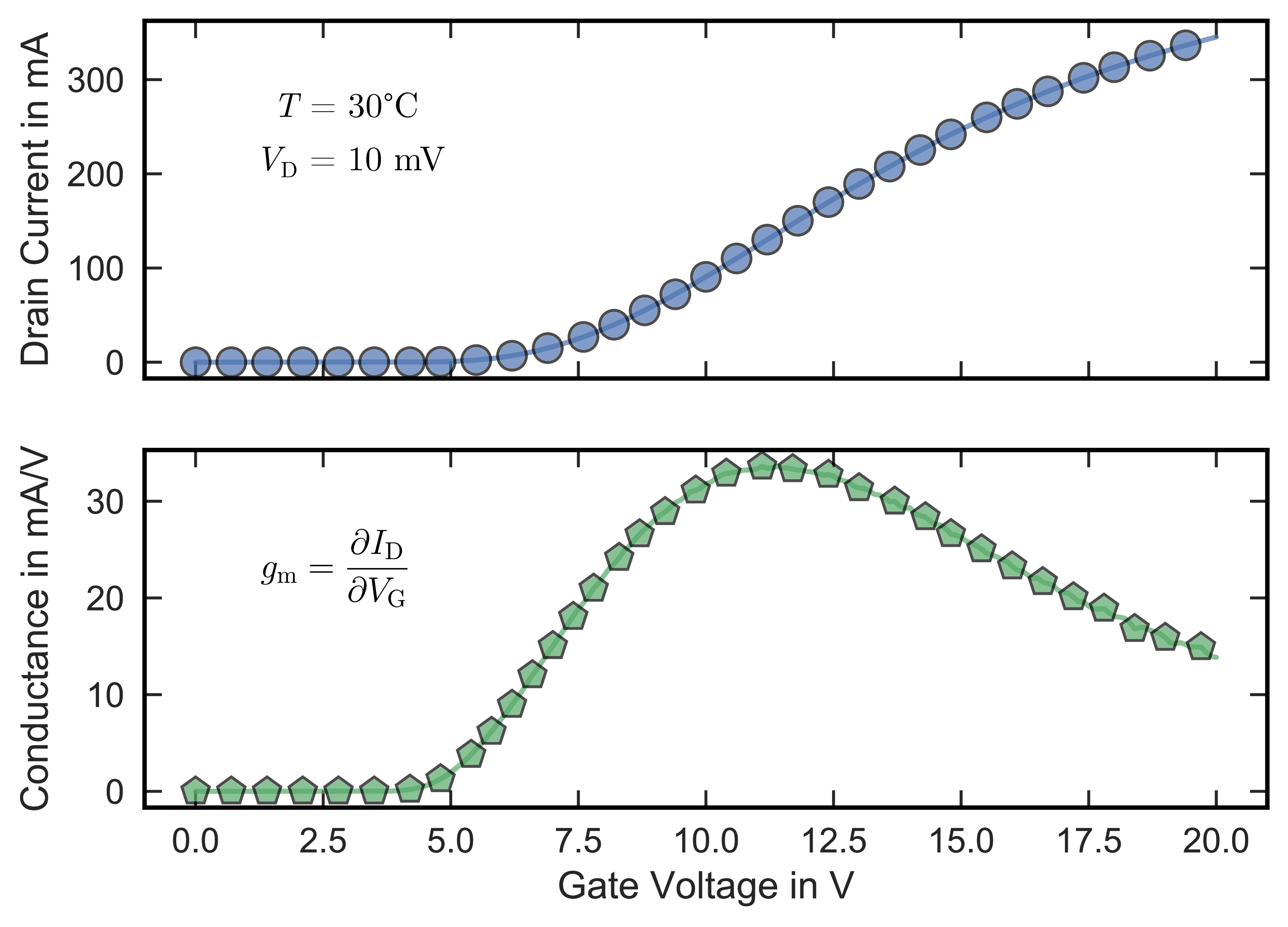
with the transconductance (math image) and Ghibaudo’s definition of the threshold voltage (math image). From (1.9), (math image) is extracted as a fitting parameter from the slope of the linear function \( \ac {id}\Big /\sqrt {\ac {gm}} \) as indicated in Fig. 1.15 and Fig. 1.16. Note that in this thesis the term mobility always refers to the low-field mobility (math image) unless otherwise stated.

Figure 1.15: Typical drain current (math image) (blue, top) and transconductance (math image) (green, bottom) characteristics of a MOSFET.

Figure 1.16: Typical (math image)/\( \sqrt {\ac {gm}} \) characteristic illustrating the param- eter extraction via a fit of (1.9) (dashed, red) according to the method of Ghibaudo [78].

1.3.4 Charge Pumping

Charge pumping (CP) is an electrical measurement method which was proposed by Brugler and Jespers in 1969 [82]. The technique is very well suited for the quantitative determination of interface and border states in MOSFETs and was recently demonstrated on SiC based devices [29, 83–86]. The next paragraph will give a short introduction to the measurement technique. More detailed information is given in [82, 87, 88].

Figure 1.17: Basic scheme of a CP measurement on a n-channel MOSFET. Left: during the high-level of the gate pulse, an inversion channel forms and minority carriers (electrons) are captured in interface/border states (red). Right: during the low-phase of the gate pulse, these trapped electrons recombine with incoming holes from the substrate resulting in an net current flow (= charge pumping current) from the bulk to the source/drain terminals.

The basic connection scheme of a CP measurement is sketched in Fig. 1.17 for an n-channel MOSFET. While source, drain and bulk terminals are grounded, the gate is pulsed at a frequency of several kHz from accumulation to inversion. During the high-phase of the gate pulse at (math image), electrons from source and drain are injected into the channel region of the device. Most of these electrons remain delocalized (free) in the semiconductors conduction band (green), while some get captured in interface or border states (red). As soon as the gate is switched back to accumulation at (math image), delocalized electrons flow back to the source or drain regions, while most of the trapped electrons remain captured during the falling edge of the gate pulse. These remaining trapped electrons recombine with incoming holes (blue) during the low-phase of the gate pulse, which results in a net current flow from source/drain to the bulk. In typical charge pumping measurements the gate is pulsed with frequencies ranging from 10 kHz to 1 MHz. Therefore, electrons are repeatedly "pumped" from the conduction band to the valence band via interface/border states resulting in an effective charge pumping current (math image) at the bulk terminal. The maximum charge pumping current (math image) is directly proportional to the total number of trapped charges per unit area (math image) at the semiconductor-insulator interface according to

(1.10) \{begin}{align} \label {eq:icpmax} \ac {icpmax} = \ac {q} \ac {Aeff} \ac {f} \ac {ncp} \text {.} \{end}{align}

Here, (math image) represents the effective gate area, (math image) is the frequency of the gate pulse and (math image) is the elementary charge.

Spectroscopic Charge Pumping

Spectroscopic charge pumping is a tool for the measurement of the energetic distribution of interface traps in MOS systems, which was proposed by Van den Bosch and Groeseneken in 1991 [89]. It is based on the fact that the mean density of interface states \( \overline {\ac {Dit}} \) is always given within a well defined energetic fraction of the band gap according to

(1.11) \{begin}{align}       \overline {\ac {Dit}} = \ac {q} \frac {\ac {ncp}}{\ac {dEcp}} \text {.} \{end}{align}

This energetic range within the band gap is called the active energy window (math image) given by

(1.12) \{begin}{align} \ac {dEcp} = \ac {Eg} - 2\ac {kb}\ac {T} \ln \left ( \sqrt {\ac {vthn}\ac {vthp}} \sqrt {\ac {sigman}\ac {sigmap}} \sqrt {\ac
{Nc}\ac {Nv}} \frac {\ac {vthcp}-\ac {vfbcp}}{\ac {dVg}} \sqrt {\ac {tr}\ac {tf}}\right ) \{end}{align}

with the band gap (math image), the thermal drift velocity of electrons and holes, (math image) and (math image), the capture cross section of electrons and holes, (math image) and (math image), the charge-pumping threshold and flatband voltages (math image) and (math image), the amplitude of the gate pulse (math image) and the rise and fall times of the gate pulse, (math image) and (math image).

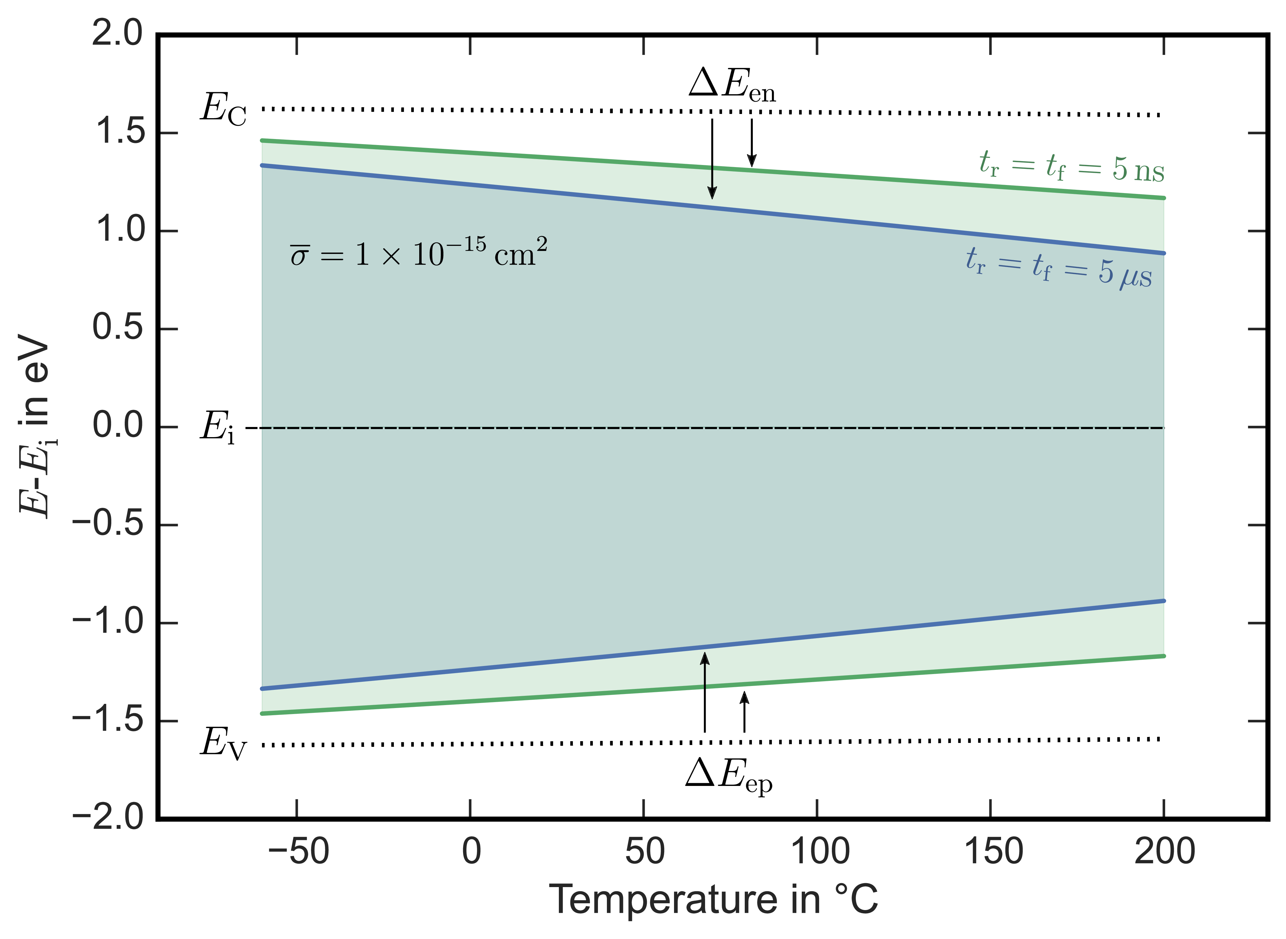
Figure 1.18: Temperature dependence of the active energy window (math image) between −60 °C and 200 °C for 2 different rise and fall times. (math image) narrows with increasing temperature and rise/fall times, which furthermore results in a decreasing charge pumping current.

The upper boundary of (math image) is given by

(1.13) \{begin}{align} \label {FU:eq:Een} \ac {Een} = \ac {Ec} - \ac {kb}\ac {T} \ln \left ( \ac {vthn} \ac {sigman} \ac {Nc} \frac {\ac {vthcp}-\ac
{vfbcp}}{\ac {dVg}} \ac {tf}\right ) \text {,} \{end}{align}

whereas the lower boundary of (math image) is given by

(1.14) \{begin}{align} \label {FU:eq:Eep} \ac {Eep} = \ac {Ev} + \ac {kb}\ac {T} \ln \left ( \ac {vthp} \ac {sigmap} \ac {Nv} \frac {\ac {vthcp}-\ac
{vfbcp}}{\ac {dVg}} \ac {tr}\right ) \text {.} \{end}{align}

It is important to note that in (1.13) and (1.14), also the drift velocities \( \nu _{\text {th}i} \), the capture cross sections \( \ac {sigma}_i \), and the effective density of states in the conduction band (math image) and valence band (math image) depend on (math image). Therefore, the upper and lower boundaries of (math image) can be easily adjusted by changing the temperature or the rise and fall times of the gate pulse. This allows for a spectroscopic scan of the (math image) within a certain range of the semiconductors band gap. Fig. 1.18 shows the temperature dependence of (math image) between −60 °C and 200 °C for two fixed pulse slopes of \( \ac {tf}=\ac {tr}=\SI {5}{\nano \s } \) and \( \ac {tf}=\ac {tr}=\SI {5}{\micro \s } \).

Figure 1.19: Active energy window for two different gate-pulse fall times \( \ac {tf}^{’} \) and \( \ac {tf}^{”} \). For the slower fall time \( \ac {tf}^{”} \) the upper boundary of (math image) moves away from the conduction band edge.

Fig. 1.19 illustrates, how this effect is used in spectroscopic CP to obtain the energetic distribution of the interface/border trap states in the upper half of the band gap. The same formalism holds for the lower part of the band gap by replacing (math image) with (math image). At a fixed (math image) and rise time (math image), the charge pumping measurement is performed two times with two different fall times \( \ac {tf}’ \) and \( \ac {tf}” \), with \( \ac {tf}’ \) being the faster, and \( \ac {tf}” \) the slower one. For \( \ac {tf}’ \), (math image) is given by \( \ac {dEcp}(\ac {tf}’) \), whereas for the slower fall time \( \ac {tf}” \), the upper boundary of the active energy window, (math image), is further away from the SiC conduction band due to (1.13), which results in the narrower active energy window \( \ac {dEcp}(\ac {tf}”) < \ac {dEcp}(\ac {tf}’) \). Due to this, traps which are located within the energetic range

(1.15) \{begin}{align} \label {eq:dE_SCP} \Delta E = \ac {dEcp}(\ac {tf}’) - \ac {dEcp}(\ac {tf}”) = \ac {kb}\ac {T} \ln \left ( \frac {\ac {tf}”}{\ac
{tf}’} \right ) \{end}{align}

do not contribute to the charge pumping current in the measurement with \( \ac {tf}” \). Therefore, the difference between both charge pumping currents

(1.16) \{begin}{align}      \Delta \ac {icp} = \ac {icp}(\ac {tf}’) - \ac {icp}(\ac {tf}”) \{end}{align}

is directly proportional to the \( \overline {\ac {Dit}} \) within \( \Delta E \). A spectroscopic scan along a large fraction of the SiC band gap is now easily possible by varying (math image), which moves the energetic position of \( \Delta E \) along the band gap. Therefore, the energetic resolution of spectroscopic charge pumping is given by \( \Delta E \), which also depends on (math image) but can be reduced by minimizing \( |\ac {tf}”-\ac {tf}’| \) according to (1.15).

1.3.5 Photo-assisted capacitance voltage profiling

Common techniques for the analysis of capacitance-voltage (CV) curves, like the high-frequency Terman method [90], do not work well in wide band gap semiconductors such as SiC [91]. The Terman technique is based on the assumption that the interface states are not able to follow the small, high frequency AC signal, whereas they follow changes in the overlaying DC bias. For wide band gap semiconductors like SiC, this assumption leads to a significant underestimation of the interface state density because deep states can not follow changes in the DC bias. For a measurement at room temperature and a very slow slew rate of 10 s/V the Terman technique can accurately measure only between 0.2 eV and 0.6 eV above (math image), which is less than 15 % of the 4H-SiC bandgap [91].

Figure 1.20: Photo-assisted CV measurement on an n-MOS capacitor. After the sweep from accumulation to depletion in the dark (A), the sample is illuminated with 350 nm light while the bias is kept at −15 V. Due to the generation of minority carriers, and therefore the formation of an inversion layer, the capacitance increases (B). The hysteresis (math image), which occurs in the following sweep back to ac- cumulation in the dark, can be used to estimate the density of interface/border traps.

A more promising and simpler to use method for a quick estimation of the number of interface/border states (math image) across the band gap at room temperature is the photo-assisted CV technique [92–96]. A typical photo-CV curve is illustrated in Fig. 1.20 for a n-type 4H-SiC MOS capacitor. The voltage is swept from accumulation to deep depletion in the dark, which results in the blue curve (A). Due to the low thermal generation rate of minority carriers in wide band gap semiconductors like 4H-SiC, no inversion layer is formed within a reasonable amount of time at room temperature. Therefore, the sample is illuminated with 350 nm (corresponding to 3.54 eV) light to populate the inversion layer via photogeneration while the bias is held at −15 V. The formation of the inversion layer is visible as a rise in the capacitance towards an equilibrium value (B). After the inversion layer is fully formed, the light is turned off and the voltage is swept back to accumulation in the dark, which results in the green curve (C). Here, a voltage shift (math image) occurs between both curves, which is caused by minority carriers (in this case holes) trapped in interface states [97, 98]. The number of trapped states (math image) per cm2 can be estimated via

(1.17) \{begin}{align}   \ac {Nit} = \ac {Cox} \frac {\ac {dVcv}}{\ac {q}} \text { .} \{end}{align}

« PreviousUpNext »Contents
Previous: 1.2 Detrimental Effects in MOS Devices    Top: 1 Introduction    Next: 2 On the first Component: the Subthreshold Hysteresis