« PreviousUpNext »Contents
Previous: 3.2 Similarities in BTI of commercially available SiC-power MOSFETs    Top: 3 On the second Component: Bias Temperature Instability    Next: 4 Charge accumulation in high temperature processing steps

3.3 Preconditioned BTI measurements

This section focuses on various (math image) extraction techniques after positive bias stress. It will be demonstrated that most of the voltage shift (math image) typically observed in standardized measurement tests (e.g. JEDEC-like) on 4H-SiC devices results from erroneous extraction techniques including stress independent but fully reversible components, which do not degrade the device performance under regular dynamic operation. A new drift evaluation technique based on device preconditioning before each (math image) readout is presented which allows for a more comprehensive and nearly measurement delay- and recovery time independent determination of the permanent voltage shift component \( P(\ac {tstr}) \). This component emerges after AC and DC stress and is of fundamental importance from an application perspective.

3.3.1 The impact of thermal non-equilibrium during the reference readout

Figure 3.7: BTI measurement pattern according to JEDEC standard JESD 241 [129].

A BTI measurement test according to JEDEC standard JESD 241 [129] is shown in Fig. 3.7. The measurement pattern consists of a (math image) sweep from 0 V to the maximum sweep voltage (math image) for the calculation of the voltage shift followed by a repeated readout cycle at the recovery voltage (math image) in sequence with a stress cycle at the stress voltage (math image) with logarithmically increasing stress times (math image). The drain voltage (math image) is turned off during every stress cycle to suppress device heating, non-uniform electric oxide fields and hot-carrier degradation. After each stress pulse, the voltage shift (math image) is calculated from the recovery drain current with respect to the reference drain current at the initial readout cycle (marked with (math image)). The drain current at each subsequent readout cycle (math image) is extracted at \( \ac {tread}=\SI {100}{\milli \s } \) after the end of the stress pulse. The resulting voltage shift (math image) is shown in Fig. 3.8 (JED, blue) after application of a stress voltage equal to two times the operation voltage (math image) for stress times up to 1444 s at 30 °C. Using JESD 241, a voltage shift (math image) of 400 mV after 1444 s stress is recorded. A slightly changed but common variation of the JESD 241 standard measurement is shown in Fig. 3.9. The pattern is similar to the pattern sketched in Fig. 3.7 with one small deviation: we introduce a 10 s delay at \( \ac {vg} = \SI {0}{\V } \) before the reference readout (math image) to represent the influence of the often ill-defined measurement delay. Although at first glance this modification appears to be negligible, the influence on the extracted voltage shift is significant as can be seen in Fig. 3.8 (JED0, green). While the trend over time does not change, an offset of approximately \( \ac {dV0}=\SI {200}{\milli \V } \) is introduced which is merely due to changing the bias value prior to the reference readout (math image).

Figure 3.8: Voltage shift extracted via JEDEC standard (JED) according to Fig. 3.7 in comparison with the delayed JEDEC (JED0) according to Fig. 3.9. (math image) was set to 0 V for 10 s before the reference readout. The minor change to the measurement pattern results in a 200 mV offset in (math image).

Figure 3.9: Delayed BTI measurement pattern (JED0) similar to JEDEC JESD 241 (Fig. 3.7), but with a delay at \( \ac {vg}=\SI {0}{\V } \) before the reference readout (math image).

The offset (math image) results from the fact that the reference readout (math image) strongly depends on the device bias history. Fig. 3.10 shows (math image) at (math image) (\( \ac {vg} = \ac {Vgrec} \)) for both measurement patterns. The blue curve represents the measurement pattern according to JEDEC JESD 241 (JED), whereas the green curve represents the same pattern with a 10 s delay at \( \ac {vg} = \SI {0}{\V } \) before (math image) (referenced to as JED0). For JED, we observe increasing drain current after the bias change from the end-of-sweep voltage (math image) to the readout voltage (math image), indicating recovery of trapped electrons, which where captured at \( \ac {vg} > \ac {Vgrec} \) during the preceding voltage sweep. The opposite trend is observed for JED0 (green). At the same readout voltage, JED0 shows a higher and decreasing drain current resulting from carrier trapping in oxide/border traps.

We therefore conclude that the discrepancy in (math image) at (math image) is due to the amount of time the system needs to reach thermal equilibrium at a certain gate voltage, meaning every trap state with an energetic position below the Fermi level (math image) is filled with electrons and every trap state above (math image) is empty. Especially in wide band gap semiconductors like silicon carbide, it may take a long time to reach thermal equilibrium.

Figure 3.10: Drain current at the reference readout (math image) for JED (blue, bottom) and JED0 (green, top). Trapping or detrapping behavior depends on the preceding gate bias. After the 0 V phase, (math image) is higher and decreases over time (JED0, electron capture), whereas after the switch from (math image) to (math image), the drain current is lower and increases over time (JED, electron emission).

3.3.2 The impact of measurement delay times on (math image)

In addition to a well defined reference readout (math image), the timing of each subsequent (math image) extraction point (math image) after the stress cycle is of similar importance. An example for a delayed (math image), JEDEC-like readout is given in Fig. 3.11 (referred to as JEDd). The measurement pattern is similar to the JED pattern in Fig. 3.7, extended with a delay phase at \( \ac {vg} = \SI {0}{\V } \) for the delay time \( d \) after the stress cycle. Especially in industrial reliability tests, delayed measurements are very common since the stress cycle is usually done in special high temperature furnaces (accelerated BTI stress [130]) where many chips can be stressed in parallel for long times (e.g. 1000 h), whereas the readout is done outside the furnace sequentially for multiple devices at room temperature. The whole procedure of loading and unloading packaged devices naturally introduces a delay time \( d \) between the termination of the stress and the extraction point (math image).

Figure 3.11: Delayed JEDEC-like measurement (JEDd) similar to JESD 241 [129] extended with variable delay \( d \) at \( \ac {vg}=\SI {0}{\V } \) after the stress.

Figure 3.12: Recovery behavior after identical positive bias stress depending on the delay time \( d \). The black solid line represents (math image) with \( d=0 \) (direct switch from (math image) to (math image)). By introducing a delay phase at \( \ac {vg}=\SI {0}{\V } \) between the stress and the re- covery phase, (math image) decreases with increasing delay time (blue). The measurement procedure is indi- cated in the inset.

Figure 3.13: Schematic recovery behavior after identical positive bias stress depending on the delay time \( d \). The increased recovery mechanism is explained via a steeper recovery curve at \( \ac {vg}=\SI {0}{\V } \) (dashed, black). This effect is increased by using an accumulation pulse during \( d \), which results in less dependence of (math image) on \( d \) as indicated in Fig. 3.12.

The impact of \( d \) on (math image) is shown in Fig. 3.12 for multiple devices subjected to identical BTI stress. (math image) is measured according to Fig. 3.11 (JEDd). The delay time \( d \) varies from 0 s to 30 s (black, blue). We see a decreasing voltage shift for increasing delay times. An explanation is given schematically in Fig. 3.13: the change in (math image) is caused by varying Fermi level positions prior to the (math image) extraction. As such, (math image) increases with stress time according to (1.4) (red) during the stress cycle at (math image). By directly switching to the recovery gate bias (math image) without any delay (\( d = \SI {0}{\s } \)), (math image) follows the black recovery curve according to (1.6). By introducing a delay at \( \ac {vg} = \SI {0}{\V } \), (math image) moves from a position close to the conduction band \( \ac {Ef}^{\textrm {str}} \) to a position around the midgap \( \ac {Ef}^{\textrm {0V}} \) leading to emission of trapped charges with energetic positions above \( \ac {Ef}^{\textrm {0V}} \), which results in a decrease of (math image) (dashed black). A subsequent bias change back to (math image) (blue) will lead to a superposition of charge trapping for trap states with energetic positions below \( \ac {Ef}^{\textrm {rec}} \) and above \( \ac {Ef}^{\textrm {0V}} \) (visible as the rising edge) and the ongoing charge transition of states above \( \ac {Ef}^{\textrm {rec}} \) which have not yet emitted their charge within \( d \). As can be seen, the delayed recovery curve approaches a value smaller than recorded in the non-delayed trace (cf. Fig. 3.12). This effect depends strongly on the delay time and shows that the delay phase at 0 V increases (math image) recovery in comparison to (math image). The same trend is observed for a floating gate contact during \( d \) (not shown), as would be the case in typical industrial measurements.

A feature that will be exploited in the following is the fact that (math image) is further decreased by using an accumulation pulse instead of 0 V/floating (Fig. 3.12, dashed, green) during the delay phase. In this example an accumulation pulse of −15 V is used for the same range of delay times resulting in a decrease of (math image) from \( > \SI {150}{\milli \V } \) to approximately \( \SI {60}{\milli \V } \) after \( \ac {trec}=\SI {100}{\s } \).

3.3.3 Preconditioned BTI

As mentioned before, BTI measurements of SiC-MOSFETs are highly sensible to the exact bias and timing conditions of each voltage shift readout (Fig. 3.12). Therefore, no reliable estimation of a permanent component \( P(\ac {tstr}) \) of (math image) can be given. This is due to two essential facts: first, the extracted voltage shift (math image) depends on the reference readout (math image) timing and gate bias history since thermal equilibrium is not reached within a reasonable period of time, meaning a drain current transient is still noticeable due to ongoing charge capture/emission during (math image). Second, the switching condition of each additional readout (math image) usually differs from the switching condition of (math image). For example in the JEDEC JESD 241 standard (Fig. 3.7), (math image) is monitored after the end-of-sweep voltage (math image), whereas following readouts (math image) are monitored after the stress voltage (math image). Therefore, the interface charging state differs for each readout, resulting in a stress independent offset in the extracted (math image).

To overcome timing and bias dependent variations of (math image), an optimized measurement pattern is proposed which is refer to as device preconditioning. The basic scheme is sketched in Fig. 3.14 for a positive bias stress pattern and consists of the following features: first, exactly the same accumulation preconditioning pulse before each readout cycle is introduced to ensure a well defined and comparable interface charge state at the instant (math image) is switched to (math image). By this, one isolates fast interface states (charging state is able to follow the gate signal) from application-relevant border states with slower time constants allowing for an extraction of (math image) nearly independent of the delay time \( d \) as will be shown in the next section. Second, voltage sweeps (if needed for the calculation of (math image)), are moved after the readout. Therefore, the bias sweep does not influence the charge state of the trapping centers during the readouts, allowing for a more comparable voltage shift extraction.

Figure 3.14: Preconditioned BTI pattern (PRE) with accumulation pulse (n\( _i \), green) before the reference readout (math image) and each subsequent readout (math image) to maintain identical switching conditions.

3.3.4 Consequences of preconditioning

For further investigation of the impact of the suggested preconditioning measurement PRE (see Fig. 3.14) on the (math image) extraction, we compare the outcome of various "reference readout" (math image) and "readout after stress" (math image) variations on the voltage shift recovery curves. The complete measurement pattern with the various investigated readout patterns, (math image) and (math image), are shown in Fig. 3.15. Here, we start with an ID -VG sweep (SWE) for the calculation of (math image) to include its impact on the subsequent readouts. For the reference readout (math image) we either use a bias switch from \( \ac {vg}=\SI {0}{\V } \) to (math image) (JED0, purple) or a preconditioned accumulation pulse readout as shown in Fig. 3.14 with a bias switch from \( \SI {0}{\V } \) to \( \SI {-15}{\V } \) (for the preconditioning time \( \ac {tnpre}=\SI {1}{\s } \)) to \( \ac {Vgrec} \), which we refer to as n0 (green). After the reference-readout, the device is subjected to a positive bias stress of 5 MV/cm for a stress time of \( \ac {tstr}=\SI {1}{\kilo \s } \) (STR). After the stress pulse STR, (math image) extraction is done according to JEDEC JESD 241 by switching from (math image) to (math image) (JED1, blue) or via accumulation pulse preconditioning identical to n0, referred to as n1 (green).

Figure 3.15: Readout variations for the extraction of the voltage shift. For the reference readouts, we either use the sweep (SWE), a JEDEC-like readout with a bias switch from \( \ac {vg}=\SI {0}{\V } \) to (math image) (JED0, purple) or the preconditioning method with a preconditioning time of 1 s at −15 V (n0, green). After the stress, (math image) is extracted via a direct bias switch from the stress voltage to the readout voltage (JED1, blue) or via accumulation pulse preconditioning similar to n0 (n1, green).

Figure 3.16: Resulting (math image) as a function of the chosen extraction pattern according to Fig. 3.15. (math image) strongly depends on the recovery time and stress independent switching conditions in measurements without preconditioning (blue). On the other hand, using preconditioned measurements results in less recovery time dependence and a more exact (math image) extraction due to identical and therefore comparable switching conditions before each readout (green and red).

The corresponding voltage shift recovery traces are given in Fig. 3.16. Each recovery curve is given relative to one of the reference readouts JED0, n0 or SWE (indicated by the minus sign). At first, we start by analyzing the reference readout JED0, a simple bias change from 0 V to (math image). As already discussed before and shown in Fig. 3.10, the drain current (math image) at \( R_{\text {JED0}} \) changes over time and can be converted to a voltage shift (math image) by using the sweep SWE as reference. The outcome is shown in Fig. 3.16 as dotted purple line (JED0-SWE). In the JESD 241 measurement standard and numerous other studies, only a certain point in time (math image) is used as the reference point for the calculation of (math image) after bias stress. Due to this major drawback of JEDEC-like measurements, (math image) changes drastically in amplitude and time dependence if (math image) is changed. In our case, (math image) represents the interface charge state 100 ms after switching to (math image).

By using either SWE or JED0((math image)) as reference point, we are now able to extract (math image) induced by the stress phase STR as a function of the recovery time (math image). Fig. 3.16 shows the change with respect to SWE (solid, blue) or JED0((math image)) (dashed, blue). Both curves only differ by an offset of \( \ac {dV0} \approx \SI {200}{\milli \V } \), which originates from the voltage shift of JED0 at (math image). The same effect was already shown in Fig. 3.8.

Compared to JED1 recovery curves of the voltage shift (blue), the recovery time dependence of (math image) changes drastically if we switch to the accumulation pulse preconditioned readout and, more importantly, always compare (math image) within identical time frames, meaning (math image) equals (math image). The solid and dashed green curves represent (math image) at the readouts n0 and n1 with respect to SWE. The difference between n0 and SWE (n0-SWE) shows (math image) before the stress, whereas the difference between n1 and SWE (n1-SWE) shows (math image) after the stress. Since both readouts are performed under identical and well defined switching conditions from accumulation to inversion, n0 and n1 show the same trend over time. This indicates that the form of the recovery curve mainly depends on the switching conditions since STR does not result in any noticeable change in the time dependence of the (math image) recovery. The difference between both curves represents the real BTI due to the stress pulse, since any impacts from stress independent switching conditions cancel out. The resulting (math image) is indicated in red and is nearly stable at 35 mV within the measured recovery time of 10 ks, giving a good estimation for the permanent component \( P(\ac {tstr}) \). The comparison with the JEDEC-like measurement (given by the difference between JED1 and JED0), which shows a (math image) of \( \approx \SI {500}{\milli \V } \) recovering to 140 mV within the same recovery time, proves the importance of comparing pairs of values ((math image), \( \ac {trec}=\ac {tread} \)) rather than (math image) prior and after the stress for reliable voltage shift measurements. In particular for industrial measurements, it is usually sufficient to extract only one pair of values instead of the complete recovery transient as long as \( \ac {trec} = \ac {tread} \).

Figure 3.17: Same as Fig. 3.16 but with delay times ranging from \( d= \SI {0}{\s } \) (red) to \( d= \SI {1000}{\s } \) (cyan) at 0 V. (math image) extracted via preconditioned measurements shows only a minor dependence on the delay time. Preconditioning was performed for \( \ac {tnpre}=\SI {1}{\s } \) (black arrow).

In addition to the accurate determination of (math image), preconditioned measurements are more robust to delay time variations. Fig. 3.17 shows the data from Fig. 3.16 on a logarithmic y-axis with additional data for delay times between STR and n1 ranging from \( d= \SI {0}{\s } \) (red) to \( d= \SI {1000}{\s } \) (cyan). During the delay time, the gate voltage is fixed to 0 V. (math image) depends only slightly on the delay time and stays within 35 mV and 45 mV. A more comprehensive picture on the delay time dependence is given in the next section.

3.3.5 Minimized impact of delay times

Especially in industrial BTI measurements with a large number of devices stressed simultaneously, delay times between the end of the stress pulse and the readout (math image) are inevitable. Delay times lead to a large inaccuracy in the extracted (math image) in JEDEC-like measurement due to ongoing recovery, as shown in Fig. 3.12. Preconditioned BTI measurements, on the other hand, show much less dependence of (math image) on the delay time between the end of the stress pulse and the beginning of the readout pulse (math image), allowing for more reliable extraction of application-relevant voltage shift.

Figure 3.18: Delay time dependence of (math image) after a 10 h, 5 MV/cm positive bias stress at 150 °C. Readout was done at either 150 °C or 30 °C. The impact of \( d \) on (math image) is reduced by more than a factor of 5 for PRE measurements since fully-recoverable components of (math image) are cleared via the preconditioning pulse.

Fig. 3.18 shows the delay time dependence of (math image) for a 10 h, 5 MV/cm positive bias stress at 150 °C for delay times up to 1 h, which is in the range of typical industrial delay times. The delayed JEDEC-like measurement JEDd (see Fig. 3.11) is shown in blue circles, whereas the preconditioned measurements (according to Fig. 3.14) are shown with triangles labeled PRE. Readout was done at 150 °C (green and blue) or 30 °C with cooldown under (math image) (red) or floating (purple). JEDd exhibits a strong dependence of (math image) on \( d \) and recovers from 560 mV for \( d=\SI {0.2}{\s } \) to 320 mV for \( d=\SI {1}{\hour } \), representing a recovery slope of \( \SI {-56}{\milli \V }/\textrm {dec} \) at a recovery temperature of 150 °C. The preconditioned measurement at the same recovery temperature is shown in green triangles and represents (math image) after identical stressing conditions. Since recoverable components, which are irrelevant for application, are eliminated, (math image) shows a 5 times smaller dependence on the delay time and ranges from 190 mV for \( d=\SI {1}{\s } \) to 155 mV for \( d=\SI {1}{\hour } \) with slopes smaller than \( \SI {10}{\milli \V }/\textrm {dec} \). The red curve represents PRE with readout performed at 30 °C and cooling down under (math image) resulting in higher shift and less recovery but identical dependence on the delay time. The purple data represents (math image) after cooling down performed under floating conditions, which results in data points shifted to longer delay times since the time needed to reach 30 °C adds to the delay time.

3.3.6 The impact of the preconditioning time

The impact of the preconditioning time (math image) was investigated using the measurement pattern sketched in Fig. 3.19. Here, we compare (math image) after a 100 s positive bias stress and 5 MV/cm for a measurement without preconditioning (top), and measurements with varying preconditioning times (math image) (bottom). For the measurement without preconditioning the recovery of the voltage shift was recorded up to 100 s, allowing for a comparison to measurements with preconditioning times up to \( \ac {tnpre}= \SI {100}{\s } \). After the preconditioning pulse, (math image) was recorded for 10 s. For all measurements in this section, the delay time was set to \( d=\SI {1}{\s } \) at \( \ac {vg}=\SI {0}{\V } \). Preconditioning was performed via an accumulation pulse at \( \ac {vg}=\SI {-15}{\V } \) for preconditioning times ranging from 0.1 s to 100 s. Temperature was fixed to 175 °C during the entire process.

Figure 3.19: Schematics for the measurement of the impact of the negative preconditioning time (math image) on the resulting voltage shift. The measurement pattern without preconditioning is given in the top, whereas the pattern with varying preconditioning time is indicated at the bottom. The delay time for both measurement patterns was set to 1 s.

Figure 3.20: Impact of the preconditioning time (math image) varying from 0.1 s (circles, blue) to 100 s (circles, red) on (math image) at 175 °C. The preconditioning was always performed in accumula- tion at \( \ac {vg}=\SI {-15}{\V } \). The solid black line repre- sents the (math image) recovery curve for a measurement without preconditioning. As for the stress and recovery time, (math image) scales with the logarithm of (math image). Therefore, even a short (math image) decreases the recovery time by several orders of magnitude. Delay time for all measurements was 1 s.

Figure 3.21: Mean value of (math image) as a function of (math image) extracted from the data in Fig. 3.20 for (math image) ranging from 0.1 s (blue) to 100 s (red). Increasing (math image) by one order of magnitude reduces (math image) by approximately 10.6 mV.

Fig. 3.20 shows the impact of (math image) on the voltage shift. Here, the solid line represents (math image) without a negative preconditioning pulse. Within two orders of magnitude in recovery time, (math image) decreases from approximately 380 mV (at \( \ac {trec} = \SI {1}{\s } \)) to 250 mV (at \( \ac {trec} = \SI {100}{\s } \)). For the preconditioned measurement on the other hand, even a short (math image) decreases the (math image) recovery time compared to the non-preconditioned measurement by several orders of magnitude. For example, the 0.1 s preconditioning pulse (circles, blue) is already sufficient to decrease (math image) to 150 mV (at \( \ac {trec} = \SI {1}{\s } \)), which is 60 % lower than the voltage shift in the measurement without preconditioning after 100 s. Furthermore, (math image) remains nearly constant during the recovery phase, as already discussed in the previous section (c.f. Fig. 3.16, red).

Fig. 3.21 shows the mean value of (math image) extracted from the data in Fig. 3.20 within the first 10 s after the end of the preconditioning pulse for (math image) ranging from 0.1 s to 100 s. As for the stress and recovery time, (math image) decreases with the logarithm of the preconditioning time (math image). Increasing (math image) by one order of magnitude results in 10.6 mV less voltage shift. This proves that the 1 s preconditioning pulse used in this chapter is already a sufficient preconditioning time to decrease the recovery time by several orders of magnitude.

3.3.7 Interface degradation caused by preconditioning

To confirm the correctness of preconditioned measurements, it is necessary to ensure the interface is not damaged by the additional preconditioning pulse itself. Therefore, charge pumping measurements where performed for both extraction patterns as shown in Fig. 3.22. The charge pumping current (math image) was extracted at a frequency of 50 kHz before the first readout (virgin) and after the last readout (stressed) for JEDd and PRE using constant base level CP measurements with a low level of the gate pulse of \( \ac {Vgl} = \SI {-25}{\V } \) and a high level of \( \ac {Vgh} = \SI {10}{\V } \). The stress field was set to 5 MV/cm for \( \ac {tstr}=\SI {100}{\s } \).

Figure 3.22: Measurement pattern to investigate if any interface degradation due to the accumulation preconditioning occurs. For both readout patterns, a constant high-level CP measurement was performed before (virgin) and after (stressed) the complete test procedure.

The outcome is shown in Fig. 3.23. As can be seen, both extraction patterns show similar charge pumping signals (left). The additional 1 s accumulation pulse used in PRE does not lead to any additional degradation compared to JEDd. For both readout patterns, (math image) increases by approximately 1 % after the 100 s stress at 175 °C.

Figure 3.23: Constant high-level charge pumping measurements for JEDd and PRE. The CP measurement was performed according to Fig. 3.22. (math image) increases by approximately 1 % for JEDd and PRE. The additional accumulation pulse for \( \ac {tnpre}=\SI {1}{\s } \) does not lead to an additional interface degradation.

3.3.8 Hysteresis monitoring

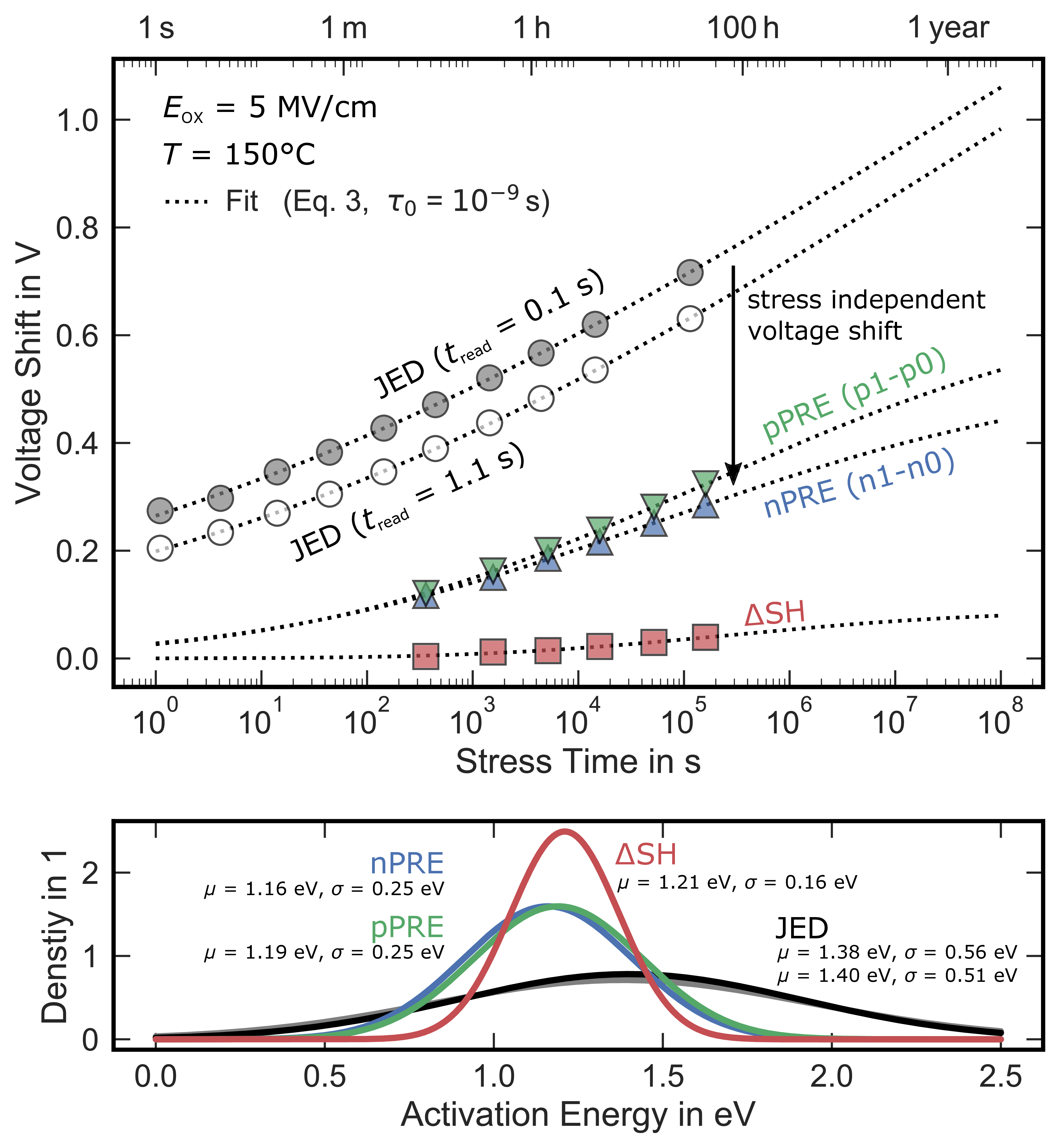
4H-SiC MOSFETs show a hysteresis (SH) between gate voltage up-sweeps from accumulation to inversion and the down-sweeps from inversion to accumulation, which is especially visible in the sub-threshold regime. The majority of the hysteresis is caused by charging and discharging of interface states, which is fully recoverable during normal device operation [29, 43, 111]. However, the impact of BTI on the density of interface states (math image) causing the hysteresis has not been investigated until now. To enable the monitoring of changes in the hysteresis during high temperature gate stress, the accumulation pulse readout n0 is extended via a second inversion preconditioning pulse p0 at use-voltage, resulting in the measurement pattern shown in Fig. 3.24. By using negative and positive preconditioning pulses, AC-use conditions are mimicked. The hysteresis before stress is given by the voltage shift after the positive p0 and negative n0 preconditioning, wheres the hysteresis after the stress is given by the difference between p1 and n1. The change in hysteresis due to BTI is therefore given by \( \Delta \text {SH} = ( \)p1\( - \)n1\( ) - ( \)p0\( - \)n0\( ) \). Fig. 3.25 shows a comparison of the JEDEC JESD 241 (circles) and the preconditioned BTI after a 1 s accumulation pulse (negative PRE, triangles up) and after a succeeding 1 s inversion pulse (positive PRE, triangles down) for a 44 h, 5 MV/cm positive stress at 150 °C.

Figure 3.24: Preconditioned BTI measurement pattern with accumulation and inversion pulse preconditioning allowing for additional hysteresis monitoring.

For JEDEC readouts, (math image) is overestimated for given stress times and depends strongly on (math image) because stress independent components are not excluded. Preconditioned measurements eliminate a large fraction of these components, resulting in an approximately 2.3 times lower and more application-relevant (math image). The difference in (math image) for negative and positive PRE results from the hysteresis (red squares), which slightly increases during high temperature, high field positive bias stress. The fit (dashed) was done according to (1.4) assuming \( \ac {tau0}= 10^{-9}\,\text {s} \) [130]. Extracted parameters of the normally distributed (math image) (\( \sigma , \mu \)) are given in the bottom plot. PRE measurements show significantly reduced standard deviation with \( \mu = \SI {1.18+-0.05}{\electronvolt } \).

Figure 3.25: Top: voltage shift for stress times up to approximately \( \SI {44}{\hour } \) for JEDEC JESD 241 (circles) with two different values for (math image) and preconditioned BTI according to Fig. 3.24 after negative (nPRE, blue, triangles up) and positive (pPRE, green, triangles down) preconditioning. Although stress conditions are identical, preconditioned measurements show significantly less shift. The difference between pPRE and nPRE represents the change in sweep hysteresis as a function of the stress time (squares, red). Bottom: parameters of the normally distributed (math image) (\( \sigma , \mu \)) are extracted using (1.4) (assuming \( \ac {tau0}= 10^{-9}\,\text {s} \) [130]).

3.3.9 Conclusions

The impact of various bias temperature instability measurement parameters on the extracted voltage shift of 4H-SiC power MOSFETs was investigated. An accurate BTI procedure should assess exclusive parameter drifts, which degrade the application-relevant device performance. However, using JEDEC-like measurements, the majority of (math image) after high bias stress originates from fully-recoverable and stress independent shift components, which strongly depend on the measurement parameters and incorrectly add to the extracted (math image). (math image) changes drastically by changing the reference point for the shift calculation and strongly depends on recovery and delay times of the measurement. To overcome this issue, a sophisticated bias temperature instability measurement pattern using device preconditioning is demonstrated, which allows for an exact determination of the application-relevant voltage shift (math image). By using similar and well defined preconditioning pulses before each readout, fully-reversible shift components are eliminated, thereby allowing for a more accurate extraction of the application-relevant permanent component. Voltage shifts extracted via preconditioned BTI are still higher but in the range of silicon based power MOSFETs, less dependent on measurement delay times within industrial timescales, and do not include fully-recoverable hysteresis effects. Therefore, they enable more accurate lifetime prediction of 4H-SiC MOSFETs.

« PreviousUpNext »Contents
Previous: 3.2 Similarities in BTI of commercially available SiC-power MOSFETs    Top: 3 On the second Component: Bias Temperature Instability    Next: 4 Charge accumulation in high temperature processing steps