Erasmus Langer
Siegfried Selberherr
Elaf Al-Ani
Hajdin Ceric
Siddhartha Dhar
Robert Entner
Klaus-Tibor Grasser
René Heinzl
Clemens Heitzinger
Christian Hollauer
Stefan Holzer
Gerhard Karlowatz
Markus Karner
Hans Kosina
Ling Li
Gregor Meller
Johannes Mesa Pascasio
Mihail Nedjalkov
Alexandre Nentchev
Vassil Palankovski
Mahdi Pourfath
Philipp Schwaha
Alireza Sheikholeslami
Michael Spevak
Viktor Sverdlov
Oliver Triebl
Stephan-Enzo Ungersböck
Martin Wagner
Wilfried Wessner
Robert Wittmann

Stefan Holzer
Dipl.-Ing.
holzer(!at)iue.tuwien.ac.at
Biography:
Stefan Holzer was born in Vienna, Austria, in 1976. He studied electrical engineering at the Technische Universität Wien, where he received the degree of Diplomingenieur in April 2002. He joined the Institute for Microelectronics in January 2003, where he is currently working on his doctoral degree. His scientific interests include optimizations, software aspects of TCAD applications, and distributed computing.

Optimization and Inverse Modeling in TCAD Applications

Simulation and, therefore, optimization become increasingly more time-consuming, especially if three-dimensional structures are considered. Since current workstations offer increased performance at steadily decreasing costs, they can easily be included as computational nodes in existing simulation and optimization clusters. This allows the use of genetic optimization algorithms, which are normally very time-consuming.
However, these new approaches require reliable tools that are able to manage the available network resources efficiently and avoid inconsistencies and overloads of certain simulation nodes. Therefore, the integrated simulation and optimization framework SIESTA (Simulation Environment for Semiconductor Technology Analysis) has been developed at the Institute for Microelectronics. It integrates a global network resource management and a variety of optimizers and simulators to combine the advantages of optimization strategies like those of gradient-based and genetic optimizers. This loosely-coupled system places only minor restrictions on the external software tools. Additionally, fault tolerance has been included in the interface structures to guarantee a stable operation.
With this variety of tools, the capabilities of the simulation framework SIESTA include investigations and optimizations of parameters for semiconductor process and device simulation. Furthermore, this framework supports inverse modeling of devices and technological processes, which is useful for the extraction of specific material and process parameters. The required information includes measured data and an appropriate base model which allows SIESTA to optimize the chosen parameters automatically. This technique has already produced excellent results in process and device optimizations.
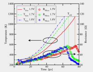
Currently, thermal effects in polycrystalline semiconductors and complex-layered interconnect structures are being investigated. The three-dimensional interconnect simulator STAP is used to predict critical temperatures in some parts of the semiconductor as shown in the upper figure. At high temperatures, however, conventional models do not predict the change of the electrical behavior correctly. Therefore it is necessary to include advanced models in device simulators which are valid in these temperature ranges. SIESTA can be used to calibrate analytical models included in device and circuit simulators.
With well-calibrated models the investigation can also be focused on complex-layered interconnect structures. The temperature distribution as a result of a three-dimensional transient electro-thermal simulation with STAP is shown in the lower figure, which depicts two heated lines and the result of the fast heat flow through several materials.


Extraction of the critical temperature of a fusing structure.The temperature is equal for all different applied voltages.



Temperature distribution of a typical interconnect structure after a forward bias has been applied for a short time period.


Home | Activities | Staff | Publications | Sponsors |Contact Us