Erasmus Langer
Siegfried Selberherr
Oskar Baumgartner
Markus Bina
Hajdin Ceric
Johann Cervenka
Lado Filipovic
Wolfgang Gös
Klaus-Tibor Grasser
Hossein Karamitaheri
Hans Kosina
Hiwa Mahmoudi
Alexander Makarov
Marian Molnar
Mahdi Moradinasab
Mihail Nedjalkov
Neophytos Neophytou
Roberto Orio
Dmitry Osintsev
Vassil Palankovski
Mahdi Pourfath
Karl Rupp
Franz Schanovsky
Anderson Singulani
Zlatan Stanojevic
Ivan Starkov
Viktor Sverdlov
Oliver Triebl
Stanislav Tyaginov
Paul-Jürgen Wagner
Michael Waltl
Josef Weinbub
Thomas Windbacher
Wolfhard Zisser

Dmitry Osintsev
MSc
osintsev(!at)iue.tuwien.ac.at
Biography:
Dmitry Osintsev was born in Volgograd, Russia in 1986. He studied computer science in Volgograd State Technical University, where he received the BSc degree in June 2007 and the MSc degree in June 2009. His current research interests are the ballistic regime of spin-polarized field-effect transistors.

Current and Conductance Modulation at Elevated Temperatures in Silicon and InAs-Based Spin Field-Effect Transistors

The significant progress in integrated circuits' performance has been supported by the miniaturization of the transistor feature size. With transistor scalability gradually slowing down, new concepts have to be introduced in order to maintain a computational speed increase at reduced power consumption for future micro and nanoelectronic devices. A promising alternative to the charge degree of freedom currently used in Metal-Oxide-Semiconductor Field-Effect Transistor (MOSFET) switches is to take into account the electron's spin degree of freedom. Employing spin as an additional degree of freedom is promising for boosting the efficiency of future low-power integrated circuits.
The Spin Field-Effect Transistor (SpinFET) is a future semiconductor spintronic device potentially providing a performance superior to that achieved in the present transistor technology. A SpinFET is composed of two ferromagnetic contacts (source and drain) connected to the semiconductor channel. The ferromagnetic source (drain) contact injects (detects) spin-polarized electrons to (from) the semiconductor region. Thus ferromagnetic contacts act as polarizer and analyzer for the electron spin. Due to the non-zero spin-orbit interaction the electron spin precesses during the propagation through the channel. Only the electrons with the spin aligned to the drain magnetization can leave the channel at the drain contact and contribute to the current. Current modulation is achieved by changing the strength of the spin-orbit interaction in the semiconductor region and thus the degree of the spin precession.
Two dominant mechanisms of the spin-orbit interaction in the III-V semiconductor heterostructures are of Rashba and Dresselhaus types. The Rashba type of the spin-orbit interaction is due to the structural asymmetry and the Dresselhaus type of the spin-orbit interaction is caused by the absence of bulk inversion symmetry. We use InAs, which is characterized by a strong value of the spin-orbit interaction and silicon-based SpinFETs. As silicon characteristically has a weak spin-orbit interaction it was not considered as a candidate for the SpinFET channel material. Recently, however, it was shown that thin silicon films inside SiGe/Si/SiGe structures may have relatively large values of spin-orbit interaction. Interestingly, the strength of the Rashba spin-orbit interaction is weak and is approximately ten times smaller than the value of the dominant contribution, which is of a Dresselhaus type.
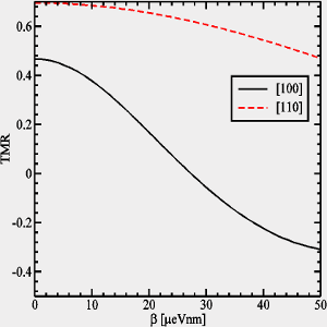
Figure 1 displays the Tunneling MagnetoResistance (TMR) dependence on the strength of the spin-orbit interaction at different temperatures in the InAs-based SpinFET. The TMR modulation is preserved at elevated temperatures, thus opening a practical possibility to modulate the TMR by changing the value of Rashba spin-orbit interaction even at room temperature. Square silicon fins of [100] and [110] orientations, with (001) horizontal faces are considered. The dependence of the TMR on the spin-orbit interaction is shown in figure 2. Fins with [100] orientation posses a larger subband effective mass compared to [110] oriented fins. Therefore a smaller variation of the Dresselhaus spin-orbit interaction is required in [100] oriented fins to achieve the same variation of TMR.


Figure 1. TMR dependence in an InAs-based SpinFET on the strength of spin-orbit interaction for several temperatures.



Figure 2. TMR dependence in a Si-based SpinFET on the value of the Dresselhaus spin-orbit interaction.


Home | Activities | Staff | Publications | Sponsors | Music | Contact Us