Erasmus Langer
Siegfried Selberherr
Oskar Baumgartner
Hajdin Ceric
Johann Cervenka
Siddhartha Dhar
Robert Entner
Otmar Ertl
Wolfgang Gös
Klaus-Tibor Grasser
Philipp Hehenberger
René Heinzl
Clemens Heitzinger
Andreas Hössinger
Gerhard Karlowatz
Markus Karner
Hans Kosina
Ling Li
Gregor Meller
Goran Milovanovic
Mihail Nedjalkov
Alexandre Nentchev
Roberto Orio
Vassil Palankovski
Mahdi Pourfath
Philipp Schwaha
Viktor Sverdlov
Oliver Triebl
Stephan Enzo Ungersböck
Martin-Thomas Vasicek
Stanislav Vitanov
Martin Wagner
Paul-Jürgen Wagner
Thomas Windbacher
Robert Wittmann

Stephan Enzo Ungersböck
Dipl.-Ing. Dr.techn.
ungersboeck(!at)iue.tuwien.ac.at
Biography:
Stephan Enzo Ungersböck was born in Vienna, Austria, in 1977. He studied physics at the Technische Universität Wien, where he received the degree of Diplomingenieur in May 2002. He joined the Institute for Microelectronics in June 2002, where he is currently working on his doctoral degree. He held a visiting research position at the Samsung Advanced Institute of Technology in Seoul, South Korea, in summer 2003. His scientific interests include Monte Carlo simulation, band structure calculations, simulation of carbon nanotubes, and quantum mechanical confinement in submicron MOSFETs.

The Effect of General Strain on the Band Structure and Electron Mobility of Silicon

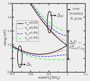
A model capturing the effect of general strain on the electron effective masses and band-edge energies of the lowest conduction band of silicon (Si) has been developed. Analytical expressions for the effective mass change induced by shear strain and valley shifts/splittings have been derived using a degenerate kp-theory at the zone boundary X point. Good agreement to numerical band-structure calculations using the nonlocal empirical pseudopotential method with spin-orbit interactions has been observed, as can be seen from the adjoining figure.
The model has been validated by calculating the bulk and inversion layer electron mobility under general strain. For this purpose the transport properties of strained Si have been investigated by solving the semiclassical Boltzmann equation using the Monte Carlo (MC) method employing fullband and analytical band models. The low-field electron mobility resulting from MC simulations using an analytical description of the electron bands and the fullband description coincide only for shear strain smaller than 0.5 percent. At larger shear strain the band deformation is so pronounced that fullband modeling is required. Through a rigorous modeling of the strain effect on the electronic band structure and MC simulations of the electron mobility, the limits of the linear piezoresistance model have been determined. In Si inversion layers on (001) oriented substrate with small body thickness, the effective mass change by shear strain has been shown to be the only mechanism able to enhance the electron mobility.


EPM calculations of the two lowest conduction bands of Si near the zone boundary X point, in the absence of shear strain (solid curves) and with shear strain applied (dotted, dashed, and dash-dotted curves).


Home | Activities | Staff | Publications | Sponsors |Contact Us