Erasmus Langer
Siegfried Selberherr
Oskar Baumgartner
Hajdin Ceric
Johann Cervenka
Siddhartha Dhar
Robert Entner
Otmar Ertl
Wolfgang Gös
Klaus-Tibor Grasser
Philipp Hehenberger
René Heinzl
Clemens Heitzinger
Andreas Hössinger
Gerhard Karlowatz
Markus Karner
Hans Kosina
Ling Li
Gregor Meller
Goran Milovanovic
Mihail Nedjalkov
Alexandre Nentchev
Roberto Orio
Vassil Palankovski
Mahdi Pourfath
Philipp Schwaha
Viktor Sverdlov
Oliver Triebl
Stephan Enzo Ungersböck
Martin-Thomas Vasicek
Stanislav Vitanov
Martin Wagner
Paul-Jürgen Wagner
Thomas Windbacher
Robert Wittmann

Stanislav Vitanov
Dipl.-Ing.
vitanov(!at)iue.tuwien.ac.at
Biography:
Stanislav Vitanov was born in Sofia, Bulgaria, in 1981. He studied electrical engineering at the Technische Universität München, where he received the degree of Diplomingenieur in 2005. He joined the Advanced Materials and Device Analysis group at the Institute for Microelectronics in January 2006, where he is currently working on his doctoral degree. His scientific interests include modeling and simulation of heterostructure devices.

Simulation of Heterostructure Field Effect Transistors

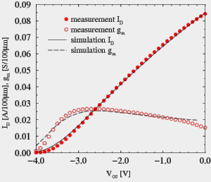
Novel high electron mobility transistors based on III-V materials present the current state of the art in radio frequency power applications. In order to fully develop the potential of the devices, an accurate simulation model is needed. We employ a Monte Carlo technique to investigate stationary electron transport in GaN and InN. We use the simulated data as a basis for the development of analytical models for the simulation of GaN- and InN-based electron devices. We analyze AlGaN/GaN HEMTs featuring various breakdown-enhancement techniques using the two-dimensional device simulator Minimos-NT. Since the longitudinal electric field in the channel reaches peak values of above 500 kV/cm, a hydrodynamic approach is used to properly model the electron transport and energy relaxation. A significant improvement of the device performance has been achieved by adopting the field plate / shield plate techniques. The main goal is to reshape the electric field distribution in the channel and to reduce the peak value on the drain side of the gate edge. Using two-dimensional device simulations, we optimize the electric field distribution in the channel by varying the geometry of the field plate. Further, we study the AC characteristics of the devices. Exploring different mobility models, we achieve good predictive results for RF transconductance, capacitances, and cut-off frequency for devices with various geometries.


Calibration of transfer characteristics and transconductance against measured data.


Home | Activities | Staff | Publications | Sponsors |Contact Us